bond_style fene command

bond_style fene/omp command

Syntax

bond_style fene

Examples

bond_style fene
bond_coeff 1 30.0 1.5 1.0 1.0

Description

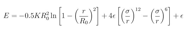
The fene bond style uses the potential

images/bond_fene.jpg

to define a finite extensible nonlinear elastic (FENE) potential (Kremer), used for bead-spring polymer models. The first term is attractive, the 2nd Lennard-Jones term is repulsive. The first term extends to R0, the maximum extent of the bond. The 2nd term is cutoff at 2^(1/6) sigma, the minimum of the LJ potential.

The following coefficients must be defined for each bond type via the bond_coeff command as in the example above, or in the data file or restart files read by the read_data or read_restart commands:

  • K (energy/distance^2)

  • R0 (distance)

  • epsilon (energy)

  • sigma (distance)


Styles with a cuda, gpu, omp, or opt suffix are functionally the same as the corresponding style without the suffix. They have been optimized to run faster, depending on your available hardware, as discussed in Section_accelerate of the manual. The accelerated styles take the same arguments and should produce the same results, except for round-off and precision issues.

These accelerated styles are part of the USER-CUDA, GPU, USER-OMP and OPT packages, respectively. They are only enabled if LAMMPS was built with those packages. See the Making LAMMPS section for more info.

You can specify the accelerated styles explicitly in your input script by including their suffix, or you can use the -suffix command-line switch when you invoke LAMMPS, or you can use the suffix command in your input script.

See Section_accelerate of the manual for more instructions on how to use the accelerated styles effectively.


Restrictions

This bond style can only be used if LAMMPS was built with the MOLECULE package. See the Making LAMMPS section for more info on packages.

You typically should specify special_bonds fene or special_bonds lj/coul 0 1 1 to use this bond style. LAMMPS will issue a warning it that’s not the case.