compute pressure command

compute pressure/cuda command

Syntax

compute ID group-ID pressure temp-ID keyword ...
  • ID, group-ID are documented in compute command

  • pressure = style name of this compute command

  • temp-ID = ID of compute that calculates temperature

  • zero or more keywords may be appended

  • keyword = ke or pair or bond or angle or dihedral or improper or kspace or fix or virial

Examples

compute 1 all pressure myTemp
compute 1 all pressure thermo_temp pair bond

Description

Define a computation that calculates the pressure of the entire system of atoms. The specified group must be “all”. See the compute stress/atom command if you want per-atom pressure (stress). These per-atom values could be summed for a group of atoms via the compute reduce command.

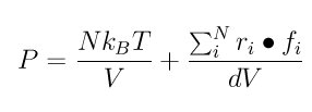
The pressure is computed by the formula

images/pressure.jpg

where N is the number of atoms in the system (see discussion of DOF below), Kb is the Boltzmann constant, T is the temperature, d is the dimensionality of the system (2 or 3 for 2d/3d), V is the system volume (or area in 2d), and the second term is the virial, computed within LAMMPS for all pairwise as well as 2-body, 3-body, and 4-body, and long-range interactions. Fixes that impose constraints (e.g. the fix shake command) also contribute to the virial term.

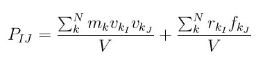
A symmetric pressure tensor, stored as a 6-element vector, is also calculated by this compute. The 6 components of the vector are ordered xx, yy, zz, xy, xz, yz. The equation for the I,J components (where I and J = x,y,z) is similar to the above formula, except that the first term uses components of the kinetic energy tensor and the second term uses components of the virial tensor:

images/pressure_tensor.jpg

If no extra keywords are listed, the entire equations above are calculated which include a kinetic energy (temperature) term and the virial as the sum of pair, bond, angle, dihedral, improper, kspace (long-range), and fix contributions to the force on each atom. If any extra keywords are listed, then only those components are summed to compute temperature or ke and/or the virial. The virial keyword means include all terms except the kinetic energy ke.

The temperature and kinetic energy tensor is not calculated by this compute, but rather by the temperature compute specified with the command. Normally this compute should calculate the temperature of all atoms for consistency with the virial term, but any compute style that calculates temperature can be used, e.g. one that excludes frozen atoms or other degrees of freedom.

Note that the N in the first formula above is really degrees-of-freedom divided by d = dimensionality, where the DOF value is calculated by the temperature compute. See the various compute temperature styles for details.

A compute of this style with the ID of “thermo_press” is created when LAMMPS starts up, as if this command were in the input script:

compute thermo_press all pressure thermo_temp

where “thermo_temp” is the ID of a similarly defined compute of style “temp”. See the “thermo_style” command for more details.


Styles with a cuda suffix are functionally the same as the corresponding style without the suffix. They have been optimized to run faster, depending on your available hardware, as discussed in Section_accelerate of the manual. The accelerated styles take the same arguments and should produce the same results, except for round-off and precision issues.

These accelerated styles are part of the USER-CUDA package. They are only enabled if LAMMPS was built with that package. See the Making LAMMPS section for more info.

You can specify the accelerated styles explicitly in your input script by including their suffix, or you can use the -suffix command-line switch when you invoke LAMMPS, or you can use the suffix command in your input script.

See Section_accelerate of the manual for more instructions on how to use the accelerated styles effectively.


Output info:

This compute calculates a global scalar (the pressure) and a global vector of length 6 (pressure tensor), which can be accessed by indices 1-6. These values can be used by any command that uses global scalar or vector values from a compute as input. See this section for an overview of LAMMPS output options.

The scalar and vector values calculated by this compute are “intensive”. The scalar and vector values will be in pressure units.

Restrictions

none