gran rolling_friction epsd3 model

Syntax

rolling_friction epsd3 [other model_type/model_name pairs as described here ] keyword values
  • zero or more keyword/value pairs may be appended to the end (after all models are specified)
torsionTorque values = 'on' or 'off'
  on = also the normal, relative rotation (torsion) contributes to the resulting torque
  off = only the tangential, relative rotation contributes to the resulting torque

Description

This model can be used as part of pair gran and fix wall/gran

The elastic-plastic spring-dashpot (EPSD) model (see Ai et al.) adds an additional torque contribution, equal to

images/pair_gran_hooke_eqEpsd1.gif

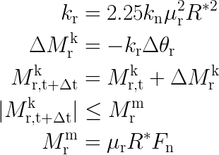
where the torque due to the spring M_rk is calculated as

images/pair_gran_hooke_eqEpsd2.gif

Here k_r denotes the rolling stiffness and dtheta_r is the incremental relative rotation between the particles. The spring torque is limited by the full mobilisation torque M_rm that is determined by the normal force F_n and the coefficient of rolling friction (rmu) (compare the CDT model).

The rolling stiffness k_r is computed using the “coeffRollingStiffness” prefactor, that needs to be defined by the user (see below). k_r is computed from k_r = coeffRollingStiffness*k_n*rmu*rmu*reff*reff.

The viscous damping torque M_rd is implemented as

images/pair_gran_hooke_eqEpsd3.gif

where in the current implementation the damping is disabled in case of full mobilisation (f = 0). The damping coefficient C_r may be expressed as:

images/pair_gran_hooke_eqEpsd4.gif

Here I_i/j is the moment of inertia and m_i/j is the mass of the particles i and j, respectively.

The coefficient of rolling friction (rmu) must be defined as

fix id all property/global coefficientRollingFriction peratomtypepair n_atomtypes value_11 value_12 .. value_21 value_22 .. .
    (value_ij=value for the coefficient of rolling friction between atom type i and j; n_atomtypes is the number of atom types you want to use in your simulation)

This coefficient rmu is equal to the rmu as defined in the CDT model. In addition to rmu, eta_r is the required material property that must be defined as

fix id all property/global coefficientRollingViscousDamping peratomtypepair n_atomtypes value_11 value_12 .. value_21 value_22 .. .
    (value_ij=value for the coefficient of rolling friction between atom type i and j; n_atomtypes is the number of atom types you want to use in your simulation)

The “coeffRollingStiffness” prefactor needs to be defined by the user as

fix     id all property/global coeffRollingStiffness scalar value

Please see Ai et al., 2011 for discussion.

Warning

You have to use atom styles beginning from 1, e.g. 1,2,3,...

Torque information:

By default the relative, normal rotation (torsion) is subtracted and does not contribute to the resulting torque. By setting the torsionTorque keyword to ‘on’, the full relative rotation contributes to the rolling friciton torque.

Coarse-graining information:

Using coarsegraining in combination with this command might lead to different dynamics or system state and thus to inconsistancies.

Note

Coarsegraining may or may not be available in LIGGGHTS(R)-PUBLIC.

Default

torsionTorque = ‘off’

(Ai) Jun Ai, Jian-Fei Chen, J. Michael Rotter, Jin Y. Ooi, Powder Technology, 206 (3), p 269-282 (2011).