angle_style charmm command¶
angle_style charmm/omp command¶
Syntax¶
angle_style charmm
Examples¶
angle_style charmm
angle_coeff 1 300.0 107.0 50.0 3.0
Description¶
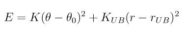
The charmm angle style uses the potential
 
with an additional Urey_Bradley term based on the distance r between the 1st and 3rd atoms in the angle. K, theta0, Kub, and Rub are coefficients defined for each angle type.
See (MacKerell) for a description of the CHARMM force field.
The following coefficients must be defined for each angle type via the angle_coeff command as in the example above, or in the data file or restart files read by the read_data or read_restart commands:
- K (energy/radian^2) 
- theta0 (degrees) 
- K_ub (energy/distance^2) 
- r_ub (distance) 
Theta0 is specified in degrees, but LAMMPS converts it to radians internally; hence the units of K are in energy/radian^2.
Styles with a cuda, gpu, omp, or opt suffix are functionally the same as the corresponding style without the suffix. They have been optimized to run faster, depending on your available hardware, as discussed in Section_accelerate of the manual. The accelerated styles take the same arguments and should produce the same results, except for round-off and precision issues.
These accelerated styles are part of the USER-CUDA, GPU, USER-OMP and OPT packages, respectively. They are only enabled if LAMMPS was built with those packages. See the Making LAMMPS section for more info.
You can specify the accelerated styles explicitly in your input script by including their suffix, or you can use the -suffix command-line switch when you invoke LAMMPS, or you can use the suffix command in your input script.
See Section_accelerate of the manual for more instructions on how to use the accelerated styles effectively.
Restrictions¶
This angle style can only be used if LAMMPS was built with the MOLECULE package. See the Making LAMMPS with optional packages section for more info on packages.