angle_style dipole command

angle_style dipole/omp command

Syntax

angle_style dipole

Examples

angle_style dipole
angle_coeff 6 2.1 180.0

Description

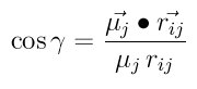
The dipole angle style is used to control the orientation of a dipolar atom within a molecule (Orsi). Specifically, the dipole angle style restrains the orientation of a point dipole mu_j (embedded in atom ‘j’) with respect to a reference (bond) vector r_ij = r_i - r_j, where ‘i’ is another atom of the same molecule (typically, ‘i’ and ‘j’ are also covalently bonded).

It is convenient to define an angle gamma between the ‘free’ vector mu_j and the reference (bond) vector r_ij:

images/angle_dipole_gamma.jpg

The dipole angle style uses the potential:

images/angle_dipole_potential.jpg

where K is a rigidity constant and gamma0 is an equilibrium (reference) angle.

The torque on the dipole can be obtained by differentiating the potential using the ‘chain rule’ as in appendix C.3 of (Allen):

images/angle_dipole_torque.jpg

Example: if gamma0 is set to 0 degrees, the torque generated by the potential will tend to align the dipole along the reference direction defined by the (bond) vector r_ij (in other words, mu_j is restrained to point towards atom ‘i’).

Note that the angle dipole potential does not give rise to any force, because it does not depend on the distance between i and j (it only depends on the angle between mu_j and r_ij).

The following coefficients must be defined for each angle type via the angle_coeff command as in the example above, or in the data file or restart files read by the read_data or read_restart commands:

  • K (energy)

  • gamma0 (degrees)


Styles with a cuda, gpu, omp, or opt suffix are functionally the same as the corresponding style without the suffix. They have been optimized to run faster, depending on your available hardware, as discussed in Section_accelerate of the manual. The accelerated styles take the same arguments and should produce the same results, except for round-off and precision issues.

These accelerated styles are part of the USER-CUDA, GPU, USER-OMP and OPT packages, respectively. They are only enabled if LAMMPS was built with those packages. See the Making LAMMPS section for more info.

You can specify the accelerated styles explicitly in your input script by including their suffix, or you can use the -suffix command-line switch when you invoke LAMMPS, or you can use the suffix command in your input script.

See Section_accelerate of the manual for more instructions on how to use the accelerated styles effectively.

Restrictions

This angle style can only be used if LAMMPS was built with the USER-MISC package. See the Making LAMMPS with optional packages section for more info on packages.

Warning

In the “Angles” section of the data file, the atom ID ‘j’ corresponding to the dipole to restrain must come before the atom ID of the reference atom ‘i’. A third atom ID ‘k’ must also be provided, although ‘k’ is just a ‘dummy’ atom which can be any atom; it may be useful to choose a convention (e.g., ‘k’=’i’) and adhere to it. For example, if ID=1 for the dipolar atom to restrain, and ID=2 for the reference atom, the corresponding line in the “Angles” section of the data file would read: X X 1 2 2

The “newton” command for intramolecular interactions must be “on” (which is the default).

This angle style should not be used with SHAKE.