dihedral_style harmonic command¶
dihedral_style harmonic/omp command¶
Syntax¶
dihedral_style harmonic
Examples¶
dihedral_style harmonic
dihedral_coeff 1 80.0 1 2
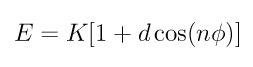
Description¶
The harmonic dihedral style uses the potential
 
The following coefficients must be defined for each dihedral type via the dihedral_coeff command as in the example above, or in the data file or restart files read by the read_data or read_restart commands:
- K (energy) 
- d (+1 or -1) 
- n (integer >= 0) 
Warning
Here are important points to take note of when defining LAMMPS dihedral coefficients for the harmonic style, so that they are compatible with how harmonic dihedrals are defined by other force fields:
- The LAMMPS convention is that the trans position = 180 degrees, while in some force fields trans = 0 degrees. 
- Some force fields reverse the sign convention on d. 
- Some force fields let n be positive or negative which corresponds to d = 1 or -1 for the harmonic style. 
Styles with a cuda, gpu, omp, or opt suffix are functionally the same as the corresponding style without the suffix. They have been optimized to run faster, depending on your available hardware, as discussed in Section_accelerate of the manual. The accelerated styles take the same arguments and should produce the same results, except for round-off and precision issues.
These accelerated styles are part of the USER-CUDA, GPU, USER-OMP and OPT packages, respectively. They are only enabled if LAMMPS was built with those packages. See the Making LAMMPS section for more info.
You can specify the accelerated styles explicitly in your input script by including their suffix, or you can use the -suffix command-line switch when you invoke LAMMPS, or you can use the suffix command in your input script.
See Section_accelerate of the manual for more instructions on how to use the accelerated styles effectively.
Restrictions¶
This dihedral style can only be used if LAMMPS was built with the MOLECULE package. See the Making LAMMPS section for more info on packages.