dihedral_style helix command¶
dihedral_style helix/omp command¶
Syntax¶
dihedral_style helix
Examples¶
dihedral_style helix
dihedral_coeff 1 80.0 100.0 40.0
Description¶
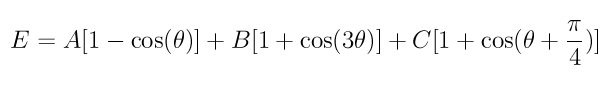
The helix dihedral style uses the potential
 
This coarse-grain dihedral potential is described in (Guo). For dihedral angles in the helical region, the energy function is represented by a standard potential consisting of three minima, one corresponding to the trans (t) state and the other to gauche states (g+ and g-). The paper describes how the A,B,C parameters are chosen so as to balance secondary (largely driven by local interactions) and tertiary structure (driven by long-range interactions).
The following coefficients must be defined for each dihedral type via the dihedral_coeff command as in the example above, or in the data file or restart files read by the read_data or read_restart commands:
- A (energy) 
- B (energy) 
- C (energy) 
Styles with a cuda, gpu, omp, or opt suffix are functionally the same as the corresponding style without the suffix. They have been optimized to run faster, depending on your available hardware, as discussed in Section_accelerate of the manual. The accelerated styles take the same arguments and should produce the same results, except for round-off and precision issues.
These accelerated styles are part of the USER-CUDA, GPU, USER-OMP and OPT packages, respectively. They are only enabled if LAMMPS was built with those packages. See the Making LAMMPS section for more info.
You can specify the accelerated styles explicitly in your input script by including their suffix, or you can use the -suffix command-line switch when you invoke LAMMPS, or you can use the suffix command in your input script.
See Section_accelerate of the manual for more instructions on how to use the accelerated styles effectively.
Restrictions¶
This dihedral style can only be used if LAMMPS was built with the MOLECULE package. See the Making LAMMPS section for more info on packages.