dihedral_style opls command

dihedral_style opls/omp command

Syntax

dihedral_style opls

Examples

dihedral_style opls
dihedral_coeff 1 90.0 90.0 90.0 70.0

Description

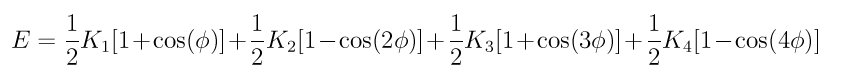
The opls dihedral style uses the potential

images/dihedral_opls.jpg

Note that the usual 1/2 factor is not included in the K values.

This dihedral potential is used in the OPLS force field and is described in (Watkins).

The following coefficients must be defined for each dihedral type via the dihedral_coeff command as in the example above, or in the data file or restart files read by the read_data or read_restart commands:

  • K1 (energy)

  • K2 (energy)

  • K3 (energy)

  • K4 (energy)


Styles with a cuda, gpu, omp, or opt suffix are functionally the same as the corresponding style without the suffix. They have been optimized to run faster, depending on your available hardware, as discussed in Section_accelerate of the manual. The accelerated styles take the same arguments and should produce the same results, except for round-off and precision issues.

These accelerated styles are part of the USER-CUDA, GPU, USER-OMP and OPT packages, respectively. They are only enabled if LAMMPS was built with those packages. See the Making LAMMPS section for more info.

You can specify the accelerated styles explicitly in your input script by including their suffix, or you can use the -suffix command-line switch when you invoke LAMMPS, or you can use the suffix command in your input script.

See Section_accelerate of the manual for more instructions on how to use the accelerated styles effectively.


Restrictions

This dihedral style can only be used if LAMMPS was built with the MOLECULE package. See the Making LAMMPS section for more info on packages.