improper_style class2 command

improper_style class2/omp command

Syntax

improper_style class2

Examples

improper_style class2
improper_coeff 1 100.0 0
improper_coeff * aa 0.0 0.0 0.0 115.06 130.01 115.06

Description

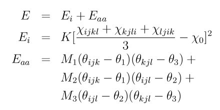
The class2 improper style uses the potential

images/improper_class2.jpg

where Ei is the improper term and Eaa is an angle-angle term. The 3 X terms in Ei are an average over 3 out-of-plane angles.

The 4 atoms in an improper quadruplet (listed in the data file read by the read_data command) are ordered I,J,K,L. X_IJKL refers to the angle between the plane of I,J,K and the plane of J,K,L, and the bond JK lies in both planes. Similarly for X_KJLI and X_LJIK. Note that atom J appears in the common bonds (JI, JK, JL) of all 3 X terms. Thus J (the 2nd atom in the quadruplet) is the atom of symmetry in the 3 X angles.

The subscripts on the various theta’s refer to different combinations of 3 atoms (I,J,K,L) used to form a particular angle. E.g. Theta_IJL is the angle formed by atoms I,J,L with J in the middle. Theta1, theta2, theta3 are the equilibrium positions of those angles. Again, atom J (the 2nd atom in the quadruplet) is the atom of symmetry in the theta angles, since it is always the center atom.

Since atom J is the atom of symmetry, normally the bonds J-I, J-K, J-L would exist for an improper to be defined between the 4 atoms, but this is not required.

See (Sun) for a description of the COMPASS class2 force field.

Coefficients for the Ei and Eaa formulas must be defined for each improper type via the improper_coeff command as in the example above, or in the data file or restart files read by the read_data or read_restart commands.

These are the 2 coefficients for the Ei formula:

  • K (energy/radian^2)

  • X0 (degrees)

X0 is specified in degrees, but LAMMPS converts it to radians internally; hence the units of K are in energy/radian^2.

For the Eaa formula, each line in a improper_coeff command in the input script lists 7 coefficients, the first of which is “aa” to indicate they are AngleAngle coefficients. In a data file, these coefficients should be listed under a “AngleAngle Coeffs” heading and you must leave out the “aa”, i.e. only list 6 coefficients after the improper type.

  • aa

  • M1 (energy/distance)

  • M2 (energy/distance)

  • M3 (energy/distance)

  • theta1 (degrees)

  • theta2 (degrees)

  • theta3 (degrees)

The theta values are specified in degrees, but LAMMPS converts them to radians internally; hence the units of M are in energy/radian^2.


Styles with a cuda, gpu, omp, or opt suffix are functionally the same as the corresponding style without the suffix. They have been optimized to run faster, depending on your available hardware, as discussed in Section_accelerate of the manual. The accelerated styles take the same arguments and should produce the same results, except for round-off and precision issues.

These accelerated styles are part of the USER-CUDA, GPU, USER-OMP and OPT packages, respectively. They are only enabled if LAMMPS was built with those packages. See the Making LAMMPS section for more info.

You can specify the accelerated styles explicitly in your input script by including their suffix, or you can use the -suffix command-line switch when you invoke LAMMPS, or you can use the suffix command in your input script.

See Section_accelerate of the manual for more instructions on how to use the accelerated styles effectively.


Restrictions

This improper style can only be used if LAMMPS was built with the CLASS2 package. See the Making LAMMPS section for more info on packages.