improper_style cvff command

improper_style cvff/omp command

Syntax

improper_style cvff

Examples

improper_style cvff
improper_coeff 1 80.0 -1 4

Description

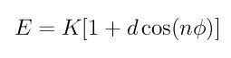
The cvff improper style uses the potential

images/improper_cvff.jpg

where phi is the improper dihedral angle.

If the 4 atoms in an improper quadruplet (listed in the data file read by the read_data command) are ordered I,J,K,L then the improper dihedral angle is between the plane of I,J,K and the plane of J,K,L. Note that because this is effectively a dihedral angle, the formula for this improper style is the same as for dihedral_style harmonic.

Note that defining 4 atoms to interact in this way, does not mean that bonds necessarily exist between I-J, J-K, or K-L, as they would in a linear dihedral. Normally, the bonds I-J, I-K, I-L would exist for an improper to be defined between the 4 atoms.

The following coefficients must be defined for each improper type via the improper_coeff command as in the example above, or in the data file or restart files read by the read_data or read_restart commands:

  • K (energy)

  • d (+1 or -1)

  • n (0,1,2,3,4,6)


Styles with a cuda, gpu, omp, or opt suffix are functionally the same as the corresponding style without the suffix. They have been optimized to run faster, depending on your available hardware, as discussed in Section_accelerate of the manual. The accelerated styles take the same arguments and should produce the same results, except for round-off and precision issues.

These accelerated styles are part of the USER-CUDA, GPU, USER-OMP and OPT packages, respectively. They are only enabled if LAMMPS was built with those packages. See the Making LAMMPS section for more info.

You can specify the accelerated styles explicitly in your input script by including their suffix, or you can use the -suffix command-line switch when you invoke LAMMPS, or you can use the suffix command in your input script.

See Section_accelerate of the manual for more instructions on how to use the accelerated styles effectively.


Restrictions

This improper style can only be used if LAMMPS was built with the MOLECULE package. See the Making LAMMPS section for more info on packages.