improper_style fourier command

improper_style fourier/omp command

Syntax

improper_style fourier

Examples

improper_style fourier
improper_coeff 1 100.0 180.0

Description

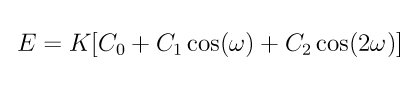
The fourier improper style uses the following potential:

images/improper_fourier.jpg

where K is the force constant and omega is the angle between the IL axis and the IJK plane:

images/umbrella.jpg

If all parameter (see bellow) is not zero, the all the three possible angles will taken in account.

The following coefficients must be defined for each improper type via the improper_coeff command as in the example above, or in the data file or restart files read by the read_data or read_restart commands:

  • K (energy)

  • C0 (real)

  • C1 (real)

  • C2 (real)

  • all (integer >= 0)


Styles with a cuda, gpu, omp, or opt suffix are functionally the same as the corresponding style without the suffix. They have been optimized to run faster, depending on your available hardware, as discussed in Section_accelerate of the manual. The accelerated styles take the same arguments and should produce the same results, except for round-off and precision issues.

These accelerated styles are part of the USER-CUDA, GPU, USER-OMP and OPT packages, respectively. They are only enabled if LAMMPS was built with those packages. See the Making LAMMPS section for more info.

You can specify the accelerated styles explicitly in your input script by including their suffix, or you can use the -suffix command-line switch when you invoke LAMMPS, or you can use the suffix command in your input script.

See Section_accelerate of the manual for more instructions on how to use the accelerated styles effectively.


Restrictions

This angle style can only be used if LAMMPS was built with the USER_MISC package. See the Making LAMMPS section for more info on packages.