fix lb/fluid command

Syntax

fix ID group-ID lb/fluid nevery LBtype viscosity density keyword values ...
  • ID, group-ID are documented in fix command

  • lb/fluid = style name of this fix command

  • nevery = update the lattice-Boltzmann fluid every this many timesteps

  • LBtype = 1 to use the standard finite difference LB integrator, 2 to use the LB integrator of Ollila et al.

  • viscosity = the fluid viscosity (units of mass/(time*length)).

  • density = the fluid density.

  • zero or more keyword/value pairs may be appended

  • keyword = setArea or setGamma or scaleGamma or dx or dm or a0 or noise or calcforce or trilinear or D3Q19 or read_restart or write_restart or zwall_velocity or bodyforce or printfluid

    setArea values = type node_area
        type = atom type (1-N)
        node_area = portion of the surface area of the composite object associated with the particular atom type (used when the force coupling constant is set by default).
    setGamma values = gamma
        gamma = user set value for the force coupling constant.
    scaleGamma values = type gammaFactor
        type = atom type (1-N)
        gammaFactor = factor to scale the setGamma gamma value by, for the specified atom type.
    dx values = dx_LB = the lattice spacing.
    dm values = dm_LB = the lattice-Boltzmann mass unit.
    a0 values = a_0_real = the square of the speed of sound in the fluid.
    noise values = Temperature seed
        Temperature = fluid temperature.
        seed = random number generator seed (positive integer)
    calcforce values = N forcegroup-ID
        N = output the force and torque every N timesteps
        forcegroup-ID = ID of the particle group to calculate the force and torque of
    trilinear values = none (used to switch from the default Peskin interpolation stencil to the trilinear stencil).
    D3Q19 values = none (used to switch from the default D3Q15, 15 velocity lattice, to the D3Q19, 19 velocity lattice).
    read_restart values = restart file = name of the restart file to use to restart a fluid run.
    write_restart values = N = write a restart file every N MD timesteps.
    zwall_velocity values = velocity_bottom velocity_top = velocities along the y-direction of the bottom and top walls (located at z=zmin and z=zmax).
    bodyforce values = bodyforcex bodyforcey bodyforcez = the x,y and z components of a constant body force added to the fluid.
    printfluid values = N = print the fluid density and velocity at each grid point every N timesteps.

Examples

fix 1 all lb/fluid 1 2 1.0 1.0 setGamma 13.0 dx 4.0 dm 10.0 calcforce sphere1
fix 1 all lb/fluid 1 1 1.0 0.0009982071 setArea 1 1.144592082 dx 2.0 dm 0.3 trilinear noise 300.0 8979873

Description

Implement a lattice-Boltzmann fluid on a uniform mesh covering the LAMMPS simulation domain. The MD particles described by group-ID apply a velocity dependent force to the fluid.

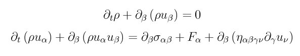
The lattice-Boltzmann algorithm solves for the fluid motion governed by the Navier Stokes equations,

images/fix_lb_fluid_navierstokes.jpg

with,

images/fix_lb_fluid_viscosity.jpg

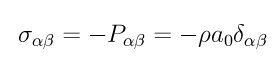
where rho is the fluid density, u is the local fluid velocity, sigma is the stress tensor, F is a local external force, and eta and Lambda are the shear and bulk viscosities respectively. Here, we have implemented

images/fix_lb_fluid_stress.jpg

with a_0 set to 1/3 (dx/dt)^2 by default.

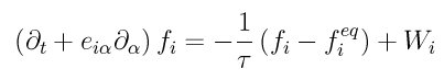
The algorithm involves tracking the time evolution of a set of partial distribution functions which evolve according to a velocity discretized version of the Boltzmann equation,

images/fix_lb_fluid_boltzmann.jpg

where the first term on the right hand side represents a single time relaxation towards the equilibrium distribution function, and tau is a parameter physically related to the viscosity. On a technical note, we have implemented a 15 velocity model (D3Q15) as default; however, the user can switch to a 19 velocity model (D3Q19) through the use of the D3Q19 keyword. This fix provides the user with the choice of two algorithms to solve this equation, through the specification of the keyword LBtype. If LBtype is set equal to 1, the standard finite difference LB integrator is used. If LBtype is set equal to 2, the algorithm of Ollila et al. is used.

Physical variables are then defined in terms of moments of the distribution functions,

images/fix_lb_fluid_properties.jpg

Full details of the lattice-Boltzmann algorithm used can be found in Mackay et al..

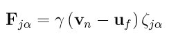
The fluid is coupled to the MD particles described by group-ID through a velocity dependent force. The contribution to the fluid force on a given lattice mesh site j due to MD particle alpha is calculated as:

images/fix_lb_fluid_fluidforce.jpg

where v_n is the velocity of the MD particle, u_f is the fluid velocity interpolated to the particle location, and gamma is the force coupling constant. Zeta is a weight assigned to the grid point, obtained by distributing the particle to the nearest lattice sites. For this, the user has the choice between a trilinear stencil, which provides a support of 8 lattice sites, or the immersed boundary method Peskin stencil, which provides a support of 64 lattice sites. While the Peskin stencil is seen to provide more stable results, the trilinear stencil may be better suited for simulation of objects close to walls, due to its smaller support. Therefore, by default, the Peskin stencil is used; however the user may switch to the trilinear stencil by specifying the keyword, trilinear.

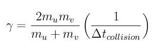
By default, the force coupling constant, gamma, is calculated according to

images/fix_lb_fluid_gammadefault.jpg

Here, m_v is the mass of the MD particle, m_u is a representative fluid mass at the particle location, and dt_collision is a collision time, chosen such that tau/dt_collision = 1 (see Mackay and Denniston for full details). In order to calculate m_u, the fluid density is interpolated to the MD particle location, and multiplied by a volume, node_area*dx_lb, where node_area represents the portion of the surface area of the composite object associated with a given MD particle. By default, node_area is set equal to dx_lb*dx_lb; however specific values for given atom types can be set using the setArea keyword.

The user also has the option of specifying their own value for the force coupling constant, for all the MD particles associated with the fix, through the use of the setGamma keyword. This may be useful when modelling porous particles. See Mackay et al. for a detailed description of the method by which the user can choose an appropriate gamma value.

Warning

while this fix applies the force of the particles on the fluid, it does not apply the force of the fluid to the particles. When the force coupling constant is set using the default method, there is only one option to include this hydrodynamic force on the particles, and that is through the use of the lb/viscous fix. This fix adds the hydrodynamic force to the total force acting on the particles, after which any of the built-in LAMMPS integrators can be used to integrate the particle motion. However, if the user specifies their own value for the force coupling constant, as mentioned in Mackay et al., the built-in LAMMPS integrators may prove to be unstable. Therefore, we have included our own integrators fix lb/rigid/pc/sphere, and fix lb/pc, to solve for the particle motion in these cases. These integrators should not be used with the lb/viscous fix, as they add hydrodynamic forces to the particles directly. In addition, they can not be used if the force coupling constant has been set the default way.

Warning

if the force coupling constant is set using the default method, and the lb/viscous fix is NOT used to add the hydrodynamic force to the total force acting on the particles, this physically corresponds to a situation in which an infinitely massive particle is moving through the fluid (since collisions between the particle and the fluid do not act to change the particle’s velocity). Therefore, the user should set the mass of the particle to be significantly larger than the mass of the fluid at the particle location, in order to approximate an infinitely massive particle (see the dragforce test run for an example).


Inside the fix, parameters are scaled by the lattice-Boltzmann timestep, dt, grid spacing, dx, and mass unit, dm. dt is set equal to (nevery*dt_MD), where dt_MD is the MD timestep. By default, dm is set equal to 1.0, and dx is chosen so that tau/(dt) = (3*eta*dt)/(rho*dx^2) is approximately equal to 1. However, the user has the option of specifying their own values for dm, and dx, by using the optional keywords dm, and dx respectively.

Warning

Care must be taken when choosing both a value for dx, and a simulation domain size. This fix uses the same subdivision of the simulation domain among processors as the main LAMMPS program. In order to uniformly cover the simulation domain with lattice sites, the lengths of the individual LAMMPS subdomains must all be evenly divisible by dx. If the simulation domain size is cubic, with equal lengths in all dimensions, and the default value for dx is used, this will automatically be satisfied.

Physical parameters describing the fluid are specified through viscosity, density, and a0. If the force coupling constant is set the default way, the surface area associated with the MD particles is specified using the setArea keyword. If the user chooses to specify a value for the force coupling constant, this is set using the setGamma keyword. These parameters should all be given in terms of the mass, distance, and time units chosen for the main LAMMPS run, as they are scaled by the LB timestep, lattice spacing, and mass unit, inside the fix.


The setArea keyword allows the user to associate a surface area with a given atom type. For example if a spherical composite object of radius R is represented as a spherical shell of N evenly distributed MD particles, all of the same type, the surface area per particle associated with that atom type should be set equal to 4*pi*R^2/N. This keyword should only be used if the force coupling constant, gamma, is set the default way.

The setGamma keyword allows the user to specify their own value for the force coupling constant, gamma, instead of using the default value.

The scaleGamma keyword should be used in conjunction with the setGamma keyword, when the user wishes to specify different gamma values for different atom types. This keyword allows the user to scale the setGamma gamma value by a factor, gammaFactor, for a given atom type.

The dx keyword allows the user to specify a value for the LB grid spacing.

The dm keyword allows the user to specify the LB mass unit.

If the a0 keyword is used, the value specified is used for the square of the speed of sound in the fluid. If this keyword is not present, the speed of sound squared is set equal to (1/3)*(dx/dt)^2. Setting a0 > (dx/dt)^2 is not allowed, as this may lead to instabilities.

If the noise keyword is used, followed by a positive temperature value, and a positive integer random number seed, a thermal lattice-Boltzmann algorithm is used. If LBtype is set equal to 1 (i.e. the standard LB integrator is chosen), the thermal LB algorithm of Adhikari et al. is used; however if LBtype is set equal to 2 both the LB integrator, and thermal LB algorithm described in Ollila et al. are used.

If the calcforce keyword is used, both the fluid force and torque acting on the specified particle group are printed to the screen every N timesteps.

If the keyword trilinear is used, the trilinear stencil is used to interpolate the particle nodes onto the fluid mesh. By default, the immersed boundary method, Peskin stencil is used. Both of these interpolation methods are described in Mackay et al..

If the keyword D3Q19 is used, the 19 velocity (D3Q19) lattice is used by the lattice-Boltzmann algorithm. By default, the 15 velocity (D3Q15) lattice is used.

If the keyword write_restart is used, followed by a positive integer, N, a binary restart file is printed every N LB timesteps. This restart file only contains information about the fluid. Therefore, a LAMMPS restart file should also be written in order to print out full details of the simulation.

Warning

When a large number of lattice grid points are used, the restart files may become quite large.

In order to restart the fluid portion of the simulation, the keyword read_restart is specified, followed by the name of the binary lb_fluid restart file to be used.

If the zwall_velocity keyword is used y-velocities are assigned to the lower and upper walls. This keyword requires the presence of walls in the z-direction. This is set by assigning fixed boundary conditions in the z-direction. If fixed boundary conditions are present in the z-direction, and this keyword is not used, the walls are assumed to be stationary.

If the bodyforce keyword is used, a constant body force is added to the fluid, defined by it’s x, y and z components.

If the printfluid keyword is used, followed by a positive integer, N, the fluid densities and velocities at each lattice site are printed to the screen every N timesteps.


For further details, as well as descriptions and results of several test runs, see Mackay et al.. Please include a citation to this paper if the lb_fluid fix is used in work contributing to published research.


Restart, fix_modify, output, run start/stop, minimize info:

Due to the large size of the fluid data, this fix writes it’s own binary restart files, if requested, independent of the main LAMMPS binary restart files; no information about lb_fluid is written to the main LAMMPS binary restart files.

None of the fix_modify options are relevant to this fix. No global or per-atom quantities are stored by this fix for access by various output commands. No parameter of this fix can be used with the start/stop keywords of the run command. This fix is not invoked during energy minimization.

Restrictions

This fix is part of the USER-LB package. It is only enabled if LAMMPS was built with that package. See the Making LAMMPS section for more info.

This fix can only be used with an orthogonal simulation domain.

Walls have only been implemented in the z-direction. Therefore, the boundary conditions, as specified via the main LAMMPS boundary command must be periodic for x and y, and either fixed or periodic for z. Shrink-wrapped boundary conditions are not permitted with this fix.

This fix must be used before any of fix lb/viscous, fix lb/momentum, fix lb/rigid/pc/sphere, and/ or fix lb/pc , as the fluid needs to be initialized before any of these routines try to access its properties. In addition, in order for the hydrodynamic forces to be added to the particles, this fix must be used in conjunction with the lb/viscous fix if the force coupling constant is set by default, or either the lb/viscous fix or one of the lb/rigid/pc/sphere or lb/pc integrators, if the user chooses to specify their own value for the force coupling constant.

Default

By default, the force coupling constant is set according to

images/fix_lb_fluid_gammadefault.jpg

and an area of dx_lb^2 per node, used to calculate the fluid mass at the particle node location, is assumed.

dx is chosen such that tau/(delta t_LB) = (3 eta dt_LB)/(rho dx_lb^2) is approximately equal to 1. dm is set equal to 1.0. a0 is set equal to (1/3)*(dx_lb/dt_lb)^2. The Peskin stencil is used as the default interpolation method. The D3Q15 lattice is used for the lattice-Boltzmann algorithm. If walls are present, they are assumed to be stationary.


(Ollila et al.) Ollila, S.T.T., Denniston, C., Karttunen, M., and Ala-Nissila, T., Fluctuating lattice-Boltzmann model for complex fluids, J. Chem. Phys. 134 (2011) 064902.

(Mackay et al.) Mackay, F. E., Ollila, S.T.T., and Denniston, C., Hydrodynamic Forces Implemented into LAMMPS through a lattice-Boltzmann fluid, Computer Physics Communications 184 (2013) 2021-2031.

(Mackay and Denniston) Mackay, F. E., and Denniston, C., Coupling MD particles to a lattice-Boltzmann fluid through the use of conservative forces, J. Comput. Phys. 237 (2013) 289-298.

(Adhikari et al.) Adhikari, R., Stratford, K., Cates, M. E., and Wagner, A. J., Fluctuating lattice Boltzmann, Europhys. Lett. 71 (2005) 473-479.