fix sph/density/continuity command¶
Syntax¶
fix ID group-ID sph/density/continuity
- ID, group-ID are documented in fix command 
- sph/density/continuity = style name of this fix command 
Examples¶
fix density all sph/density/continuity
LIGGGHTS vs. LAMMPS Info:
This command is not available in LAMMPS.
Description¶
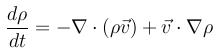
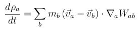
Based on the continuity equation in the form
 
this fix calculates the density of each particle by the rule
 
where the summation is over all particles b other than particle a, m is the mass, v is the velocity, W<sub>ab</sub> is the interpolating kernel (documented in pair_style sph/artVisc/tensCorr) and ∇<sub>a</sub> is the gradient of W<sub>ab</sub>.
Restart, fix_modify, output, run start/stop, minimize info:
No information about this fix is written to binary restart files.
None of the fix_modify options are relevant to this fix.
No global scalar or vector or per_atom quantities are stored by this fix for access by various output commands.
No parameter of this fix can be used with the start/stop keywords of the run command.
This fix is not invoked during energy minimization.
Restrictions¶
There can be only one fix sph/density.