fix orient/fcc command

fix ID group-ID orient/fcc nstats dir alat dE cutlo cuthi file0 file1
  • ID, group-ID are documented in fix command

  • nstats = print stats every this many steps, 0 = never

  • dir = 0/1 for which crystal is used as reference

  • alat = fcc cubic lattice constant (distance units)

  • dE = energy added to each atom (energy units)

  • cutlo,cuthi = values between 0.0 and 1.0, cutlo < cuthi

  • file0,file1 = files that specify orientation of each grain

Examples

fix gb all orient/fcc 0 1 4.032008 0.001 0.25 0.75 xi.vec chi.vec

Description

The fix applies an orientation-dependent force to atoms near a planar grain boundary which can be used to induce grain boundary migration (in the direction perpendicular to the grain boundary plane). The motivation and explanation of this force and its application are described in (Janssens). The force is only applied to atoms in the fix group.

The basic idea is that atoms in one grain (on one side of the boundary) have a potential energy dE added to them. Atoms in the other grain have 0.0 potential energy added. Atoms near the boundary (whose neighbor environment is intermediate between the two grain orientations) have an energy between 0.0 and dE added. This creates an effective driving force to reduce the potential energy of atoms near the boundary by pushing them towards one of the grain orientations. For dir = 1 and dE > 0, the boundary will thus move so that the grain described by file0 grows and the grain described by file1 shrinks. Thus this fix is designed for simulations of two-grain systems, either with one grain boundary and free surfaces parallel to the boundary, or a system with periodic boundary conditions and two equal and opposite grain boundaries. In either case, the entire system can displace during the simulation, and such motion should be accounted for in measuring the grain boundary velocity.

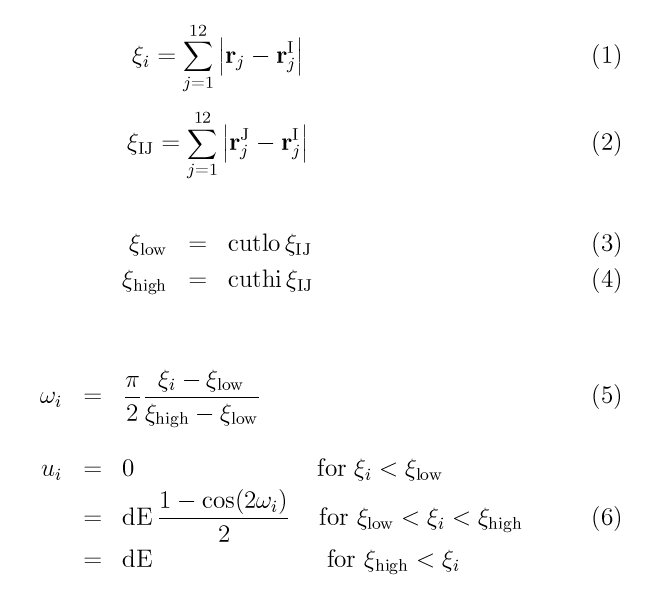
The potential energy added to atom I is given by these formulas

images/fix_orient_fcc.jpg

which are fully explained in (Janssens). The order parameter Xi for atom I in equation (1) is a sum over the 12 nearest neighbors of atom I. Rj is the vector from atom I to its neighbor J, and RIj is a vector in the reference (perfect) crystal. That is, if dir = 0/1, then RIj is a vector to an atom coord from file 0/1. Equation (2) gives the expected value of the order parameter XiIJ in the other grain. Hi and lo cutoffs are defined in equations (3) and (4), using the input parameters cutlo and cuthi as thresholds to avoid adding grain boundary energy when the deviation in the order parameter from 0 or 1 is small (e.g. due to thermal fluctuations in a perfect crystal). The added potential energy Ui for atom I is given in equation (6) where it is interpolated between 0 and dE using the two threshold Xi values and the Wi value of equation (5).

The derivative of this energy expression gives the force on each atom which thus depends on the orientation of its neighbors relative to the 2 grain orientations. Only atoms near the grain boundary feel a net force which tends to drive them to one of the two grain orientations.

In equation (1), the reference vector used for each neighbor is the reference vector closest to the actual neighbor position. This means it is possible two different neighbors will use the same reference vector. In such cases, the atom in question is far from a perfect orientation and will likely receive the full dE addition, so the effect of duplicate reference vector usage is small.

The dir parameter determines which grain wants to grow at the expense of the other. A value of 0 means the first grain will shrink; a value of 1 means it will grow. This assumes that dE is positive. The reverse will be true if dE is negative.

The alat parameter is the cubic lattice constant for the fcc material and is only used to compute a cutoff distance of 1.57 * alat / sqrt(2) for finding the 12 nearest neighbors of each atom (which should be valid for an fcc crystal). A longer/shorter cutoff can be imposed by adjusting alat. If a particular atom has less than 12 neighbors within the cutoff, the order parameter of equation (1) is effectively multiplied by 12 divided by the actual number of neighbors within the cutoff.

The dE parameter is the maximum amount of additional energy added to each atom in the grain which wants to shrink.

The cutlo and cuthi parameters are used to reduce the force added to bulk atoms in each grain far away from the boundary. An atom in the bulk surrounded by neighbors at the ideal grain orientation would compute an order parameter of 0 or 1 and have no force added. However, thermal vibrations in the solid will cause the order parameters to be greater than 0 or less than 1. The cutoff parameters mask this effect, allowing forces to only be added to atoms with order-parameters between the cutoff values.

File0 and file1 are filenames for the two grains which each contain 6 vectors (6 lines with 3 values per line) which specify the grain orientations. Each vector is a displacement from a central atom (0,0,0) to a nearest neighbor atom in an fcc lattice at the proper orientation. The vector lengths should all be identical since an fcc lattice has a coordination number of 12. Only 6 are listed due to symmetry, so the list must include one from each pair of equal-and-opposite neighbors. A pair of orientation files for a Sigma=5 tilt boundary are show below.

Restart, fix_modify, output, run start/stop, minimize info:

No information about this fix is written to binary restart files.

The fix_modify energy option is supported by this fix to add the potential energy of atom interactions with the grain boundary driving force to the system’s potential energy as part of thermodynamic output.

This fix calculates a global scalar which can be accessed by various output commands. The scalar is the potential energy change due to this fix. The scalar value calculated by this fix is “extensive”.

This fix also calculates a per-atom array which can be accessed by various output commands. The array stores the order parameter Xi and normalized order parameter (0 to 1) for each atom. The per-atom values can be accessed on any timestep.

No parameter of this fix can be used with the start/stop keywords of the run command. This fix is not invoked during energy minimization.

Restrictions

This fix is part of the MISC package. It is only enabled if LAMMPS was built with that package. See the Making LAMMPS section for more info.

This fix should only be used with fcc lattices.