pair_style airebo command

pair_style airebo/omp command

pair_style rebo command

pair_style rebo/omp command

Syntax

pair_style style cutoff LJ_flag TORSION_flag
  • style = airebo or rebo

  • cutoff = LJ cutoff (sigma scale factor) (AIREBO only)

  • LJ_flag = 0/1 to turn off/on the LJ term (AIREBO only, optional)

  • TORSION_flag = 0/1 to turn off/on the torsion term (AIREBO only, optional)

Examples

pair_style airebo 3.0
pair_style airebo 2.5 1 0
pair_coeff * * ../potentials/CH.airebo H C

pair_style rebo
pair_coeff * * ../potentials/CH.airebo H C

Description

The airebo pair style computes the Adaptive Intermolecular Reactive Empirical Bond Order (AIREBO) Potential of (Stuart) for a system of carbon and/or hydrogen atoms. Note that this is the initial formulation of AIREBO from 2000, not the later formulation. The rebo pair style computes the Reactive Empirical Bond Order (REBO) Potential of (Brenner). Note that this is the so-called 2nd generation REBO from 2002, not the original REBO from 1990. As discussed below, 2nd generation REBO is closely related to the initial AIREBO; it is just a subset of the potential energy terms.

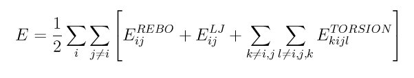
The AIREBO potential consists of three terms:

images/pair_airebo.jpg

By default, all three terms are included. For the airebo style, if the two optional flag arguments to the pair_style command are included, the LJ and torsional terms can be turned off. Note that both or neither of the flags must be included. If both of the LJ an torsional terms are turned off, it becomes the 2nd-generation REBO potential, with a small caveat on the spline fitting procedure mentioned below. This can be specified directly as pair_style rebo with no additional arguments.

The detailed formulas for this potential are given in (Stuart); here we provide only a brief description.

The E_REBO term has the same functional form as the hydrocarbon REBO potential developed in (Brenner). The coefficients for E_REBO in AIREBO are essentially the same as Brenner’s potential, but a few fitted spline values are slightly different. For most cases the E_REBO term in AIREBO will produce the same energies, forces and statistical averages as the original REBO potential from which it was derived. The E_REBO term in the AIREBO potential gives the model its reactive capabilities and only describes short-ranged C-C, C-H and H-H interactions (r < 2 Angstroms). These interactions have strong coordination-dependence through a bond order parameter, which adjusts the attraction between the I,J atoms based on the position of other nearby atoms and thus has 3- and 4-body dependence.

The E_LJ term adds longer-ranged interactions (2 < r < cutoff) using a form similar to the standard Lennard Jones potential. The E_LJ term in AIREBO contains a series of switching functions so that the short-ranged LJ repulsion (1/r^12) does not interfere with the energetics captured by the E_REBO term. The extent of the E_LJ interactions is determined by the cutoff argument to the pair_style command which is a scale factor. For each type pair (C-C, C-H, H-H) the cutoff is obtained by multiplying the scale factor by the sigma value defined in the potential file for that type pair. In the standard AIREBO potential, sigma_CC = 3.4 Angstroms, so with a scale factor of 3.0 (the argument in pair_style), the resulting E_LJ cutoff would be 10.2 Angstroms.

The E_TORSION term is an explicit 4-body potential that describes various dihedral angle preferences in hydrocarbon configurations.


Only a single pair_coeff command is used with the airebo or rebo style which specifies an AIREBO potential file with parameters for C and H. Note that the rebo style in LAMMPS uses the same AIREBO-formatted potential file. These are mapped to LAMMPS atom types by specifying N additional arguments after the filename in the pair_coeff command, where N is the number of LAMMPS atom types:

  • filename

  • N element names = mapping of AIREBO elements to atom types

See the pair_coeff doc page for alternate ways to specify the path for the potential file.

As an example, if your LAMMPS simulation has 4 atom types and you want the 1st 3 to be C, and the 4th to be H, you would use the following pair_coeff command:

pair_coeff * * CH.airebo C C C H

The 1st 2 arguments must be * * so as to span all LAMMPS atom types. The first three C arguments map LAMMPS atom types 1,2,3 to the C element in the AIREBO file. The final H argument maps LAMMPS atom type 4 to the H element in the SW file. If a mapping value is specified as NULL, the mapping is not performed. This can be used when a airebo potential is used as part of the hybrid pair style. The NULL values are placeholders for atom types that will be used with other potentials.

The parameters/coefficients for the AIREBO potentials are listed in the CH.airebo file to agree with the original (Stuart) paper. Thus the parameters are specific to this potential and the way it was fit, so modifying the file should be done cautiously.


Styles with a cuda, gpu, omp, or opt suffix are functionally the same as the corresponding style without the suffix. They have been optimized to run faster, depending on your available hardware, as discussed in Section_accelerate of the manual. The accelerated styles take the same arguments and should produce the same results, except for round-off and precision issues.

These accelerated styles are part of the USER-CUDA, GPU, USER-OMP and OPT packages, respectively. They are only enabled if LAMMPS was built with those packages. See the Making LAMMPS section for more info.

You can specify the accelerated styles explicitly in your input script by including their suffix, or you can use the -suffix command-line switch when you invoke LAMMPS, or you can use the suffix command in your input script.

See Section_accelerate of the manual for more instructions on how to use the accelerated styles effectively.


Mixing, shift, table, tail correction, restart, rRESPA info:

These pair styles do not support the pair_modify mix, shift, table, and tail options.

These pair styles do not write their information to binary restart files, since it is stored in potential files. Thus, you need to re-specify the pair_style and pair_coeff commands in an input script that reads a restart file.

These pair styles can only be used via the pair keyword of the run_style respa command. They do not support the inner, middle, outer keywords.

Restrictions

These pair styles are part of the MANYBODY package. They are only enabled if LAMMPS was built with that package (which it is by default). See the Making LAMMPS section for more info.

These pair potentials require the newton setting to be “on” for pair interactions.

The CH.airebo potential file provided with LAMMPS (see the potentials directory) is parameterized for metal units. You can use the AIREBO or REBO potential with any LAMMPS units, but you would need to create your own AIREBO potential file with coefficients listed in the appropriate units if your simulation doesn’t use “metal” units.