pair_style dpd command

pair_style dpd/omp command

pair_style dpd/tstat command

pair_style dpd/tstat/omp command

Syntax

pair_style dpd T cutoff seed
pair_style dpd/tstat Tstart Tstop cutoff seed
  • T = temperature (temperature units)

  • Tstart,Tstop = desired temperature at start/end of run (temperature units)

  • cutoff = global cutoff for DPD interactions (distance units)

  • seed = random # seed (positive integer)

Examples

pair_style dpd 1.0 2.5 34387
pair_coeff * * 3.0 1.0
pair_coeff 1 1 3.0 1.0 1.0

pair_style dpd/tstat 1.0 1.0 2.5 34387
pair_coeff * * 1.0
pair_coeff 1 1 1.0 1.0

Description

Style dpd computes a force field for dissipative particle dynamics (DPD) following the exposition in (Groot).

Style dpd/tstat invokes a DPD thermostat on pairwise interactions, which is equivalent to the non-conservative portion of the DPD force field. This pair-wise thermostat can be used in conjunction with any pair style, and in leiu of per-particle thermostats like fix langevin or ensemble thermostats like Nose Hoover as implemented by fix nvt. To use dpd/stat as a thermostat for another pair style, use the pair_style hybrid/overlay command to compute both the desired pair interaction and the thermostat for each pair of particles.

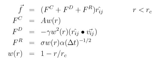
For style dpd, the force on atom I due to atom J is given as a sum of 3 terms

images/pair_dpd.jpg

where Fc is a conservative force, Fd is a dissipative force, and Fr is a random force. Rij is a unit vector in the direction Ri - Rj, Vij is the vector difference in velocities of the two atoms = Vi - Vj, alpha is a Gaussian random number with zero mean and unit variance, dt is the timestep size, and w(r) is a weighting factor that varies between 0 and 1. Rc is the cutoff. Sigma is set equal to sqrt(2 Kb T gamma), where Kb is the Boltzmann constant and T is the temperature parameter in the pair_style command.

For style dpd/tstat, the force on atom I due to atom J is the same as the above equation, except that the conservative Fc term is dropped. Also, during the run, T is set each timestep to a ramped value from Tstart to Tstop.

For style dpd, the pairwise energy associated with style dpd is only due to the conservative force term Fc, and is shifted to be zero at the cutoff distance Rc. The pairwise virial is calculated using all 3 terms. For style dpd/tstat there is no pairwise energy, but the last two terms of the formula make a contribution to the virial.

For style dpd, the following coefficients must be defined for each pair of atoms types via the pair_coeff command as in the examples above, or in the data file or restart files read by the read_data or read_restart commands:

  • A (force units)

  • gamma (force/velocity units)

  • cutoff (distance units)

The last coefficient is optional. If not specified, the global DPD cutoff is used. Note that sigma is set equal to sqrt(2 T gamma), where T is the temperature set by the pair_style command so it does not need to be specified.

For style dpd/tstat, the coefficients defined for each pair of atoms types via the pair_coeff command is the same, except that A is not included.


Styles with a cuda, gpu, omp, or opt suffix are functionally the same as the corresponding style without the suffix. They have been optimized to run faster, depending on your available hardware, as discussed in Section_accelerate of the manual. The accelerated styles take the same arguments and should produce the same results, except for round-off and precision issues.

These accelerated styles are part of the USER-CUDA, GPU, USER-OMP and OPT packages, respectively. They are only enabled if LAMMPS was built with those packages. See the Making LAMMPS section for more info.

You can specify the accelerated styles explicitly in your input script by including their suffix, or you can use the -suffix command-line switch when you invoke LAMMPS, or you can use the suffix command in your input script.

See Section_accelerate of the manual for more instructions on how to use the accelerated styles effectively.


Mixing, shift, table, tail correction, restart, rRESPA info:

These pair styles do not support mixing. Thus, coefficients for all I,J pairs must be specified explicitly.

These pair styles do not support the pair_modify shift option for the energy of the pair interaction. Note that as discussed above, the energy due to the conservative Fc term is already shifted to be 0.0 at the cutoff distance Rc.

The pair_modify table option is not relevant for these pair styles.

These pair style do not support the pair_modify tail option for adding long-range tail corrections to energy and pressure.

These pair styles writes their information to binary restart files, so pair_style and pair_coeff commands do not need to be specified in an input script that reads a restart file. Note that the user-specified random number seed is stored in the restart file, so when a simulation is restarted, each processor will re-initialize its random number generator the same way it did initially. This means the random forces will be random, but will not be the same as they would have been if the original simulation had continued past the restart time.

These pair styles can only be used via the pair keyword of the run_style respa command. They do not support the inner, middle, outer keywords.

The dpd/tstat style can ramp its target temperature over multiple runs, using the start and stop keywords of the run command. See the run command for details of how to do this.


Restrictions

The default frequency for rebuilding neighbor lists is every 10 steps (see the neigh_modify command). This may be too infrequent for style dpd simulations since particles move rapidly and can overlap by large amounts. If this setting yields a non-zero number of “dangerous” reneighborings (printed at the end of a simulation), you should experiment with forcing reneighboring more often and see if system energies/trajectories change.

These pair styles requires you to use the communicate vel yes option so that velocites are stored by ghost atoms.

These pair styles will not restart exactly when using the read_restart command, though they should provide statistically similar results. This is because the forces they compute depend on atom velocities. See the read_restart command for more details.