pair_style lj/class2 command

pair_style lj/class2/cuda command

pair_style lj/class2/gpu command

pair_style lj/class2/omp command

pair_style lj/class2/coul/cut command

pair_style lj/class2/coul/cut/cuda command

pair_style lj/class2/coul/cut/omp command

pair_style lj/class2/coul/long command

pair_style lj/class2/coul/long/cuda command

pair_style lj/class2/coul/long/gpu command

pair_style lj/class2/coul/long/omp command

Syntax

pair_style style args
  • style = lj/class2 or lj/class2/coul/cut or lj/class2/coul/long

  • args = list of arguments for a particular style

lj/class2 args = cutoff
  cutoff = global cutoff for class 2 interactions (distance units)
lj/class2/coul/cut args = cutoff (cutoff2)
  cutoff = global cutoff for class 2 (and Coulombic if only 1 arg) (distance units)
  cutoff2 = global cutoff for Coulombic (optional) (distance units)
lj/class2/coul/long args = cutoff (cutoff2)
  cutoff = global cutoff for class 2 (and Coulombic if only 1 arg) (distance units)
  cutoff2 = global cutoff for Coulombic (optional) (distance units)

Examples

pair_style lj/class2 10.0
pair_coeff * * 100.0 2.5
pair_coeff 1 2* 100.0 2.5 9.0

pair_style lj/class2/coul/cut 10.0
pair_style lj/class2/coul/cut 10.0 8.0
pair_coeff * * 100.0 3.0
pair_coeff 1 1 100.0 3.5 9.0
pair_coeff 1 1 100.0 3.5 9.0 9.0

pair_style lj/class2/coul/long 10.0
pair_style lj/class2/coul/long 10.0 8.0
pair_coeff * * 100.0 3.0
pair_coeff 1 1 100.0 3.5 9.0

Description

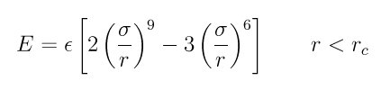
The lj/class2 styles compute a 6/9 Lennard-Jones potential given by

images/pair_class2.jpg

Rc is the cutoff.

The lj/class2/coul/cut and lj/class2/coul/long styles add a Coulombic term as described for the lj/cut pair styles.

See (Sun) for a description of the COMPASS class2 force field.

The following coefficients must be defined for each pair of atoms types via the pair_coeff command as in the examples above, or in the data file or restart files read by the read_data or read_restart commands, or by mixing as described below:

  • epsilon (energy units)

  • sigma (distance units)

  • cutoff1 (distance units)

  • cutoff2 (distance units)

The latter 2 coefficients are optional. If not specified, the global class 2 and Coulombic cutoffs are used. If only one cutoff is specified, it is used as the cutoff for both class 2 and Coulombic interactions for this type pair. If both coefficients are specified, they are used as the class 2 and Coulombic cutoffs for this type pair. You cannot specify 2 cutoffs for style lj/class2, since it has no Coulombic terms.

For lj/class2/coul/long only the class 2 cutoff can be specified since a Coulombic cutoff cannot be specified for an individual I,J type pair. All type pairs use the same global Coulombic cutoff specified in the pair_style command.


If the pair_coeff command is not used to define coefficients for a particular I != J type pair, the mixing rule for epsilon and sigma for all class2 potentials is to use the sixthpower formulas documented by the pair_modify command. The pair_modify mix setting is thus ignored for class2 potentials for epsilon and sigma. However it is still followed for mixing the cutoff distance.


Styles with a cuda, gpu, omp, or opt suffix are functionally the same as the corresponding style without the suffix. They have been optimized to run faster, depending on your available hardware, as discussed in Section_accelerate of the manual. The accelerated styles take the same arguments and should produce the same results, except for round-off and precision issues.

These accelerated styles are part of the USER-CUDA, GPU, USER-OMP and OPT packages, respectively. They are only enabled if LAMMPS was built with those packages. See the Making LAMMPS section for more info.

You can specify the accelerated styles explicitly in your input script by including their suffix, or you can use the -suffix command-line switch when you invoke LAMMPS, or you can use the suffix command in your input script.

See Section_accelerate of the manual for more instructions on how to use the accelerated styles effectively.


Mixing, shift, table, tail correction, restart, rRESPA info:

For atom type pairs I,J and I != J, the epsilon and sigma coefficients and cutoff distance for all of the lj/class2 pair styles can be mixed. Epsilon and sigma are always mixed with the value sixthpower. The cutoff distance is mixed by whatever option is set by the pair_modify command (default = geometric). See the “pair_modify” command for details.

All of the lj/class2 pair styles support the pair_modify shift option for the energy of the Lennard-Jones portion of the pair interaction.

The lj/class2/coul/long pair style does not support the pair_modify table option since a tabulation capability has not yet been added to this potential.

All of the lj/class2 pair styles support the pair_modify tail option for adding a long-range tail correction to the energy and pressure of the Lennard-Jones portion of the pair interaction.

All of the lj/class2 pair styles write their information to binary restart files, so pair_style and pair_coeff commands do not need to be specified in an input script that reads a restart file.

All of the lj/class2 pair styles can only be used via the pair keyword of the run_style respa command. They do not support the inner, middle, outer keywords.

Restrictions

These styles are part of the CLASS2 package. They are only enabled if LAMMPS was built with that package. See the Making LAMMPS section for more info.