pair_style lj/cubic command

pair_style lj/cubic/omp command

Syntax

pair_style lj/cubic

Examples

pair_style lj/cubic
pair_coeff * * 1.0 0.8908987

Description

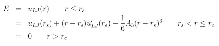
The lj/cubic style computes a truncated LJ interaction potential whose energy and force are continuous everywhere. Inside the inflection point the interaction is identical to the standard 12/6 Lennard-Jones potential. The LJ function outside the inflection point is replaced with a cubic function of distance. The energy, force, and second derivative are continuous at the inflection point. The cubic coefficient A3 is chosen so that both energy and force go to zero at the cutoff distance. Outside the cutoff distance the energy and force are zero.

images/pair_lj_cubic.jpg

The location of the inflection point rs is defined by the LJ diameter, rs/sigma = (26/7)^1/6. The cutoff distance is defined by rc/rs = 67/48 or rc/sigma = 1.737…. The analytic expression for the the cubic coefficient A3*rmin^3/epsilon = 27.93… is given in the paper by Holian and Ravelo (Holian).

This potential is commonly used to study the shock mechanics of FCC solids, as in Ravelo et al. (Ravelo).

The following coefficients must be defined for each pair of atom types via the pair_coeff command as in the example above, or in the data file or restart files read by the read_data or read_restart commands, or by mixing as described below:

  • epsilon (energy units)

  • sigma (distance units)

Note that sigma is defined in the LJ formula as the zero-crossing distance for the potential, not as the energy minimum, which is located at rmin = 2^(1/6)*sigma. In the above example, sigma = 0.8908987, so rmin = 1.


Styles with a cuda, gpu, omp, or opt suffix are functionally the same as the corresponding style without the suffix. They have been optimized to run faster, depending on your available hardware, as discussed in Section_accelerate of the manual. The accelerated styles take the same arguments and should produce the same results, except for round-off and precision issues.

These accelerated styles are part of the USER-CUDA, GPU, USER-OMP and OPT packages, respectively. They are only enabled if LAMMPS was built with those packages. See the Making LAMMPS section for more info.

You can specify the accelerated styles explicitly in your input script by including their suffix, or you can use the -suffix command-line switch when you invoke LAMMPS, or you can use the suffix command in your input script.

See Section_accelerate of the manual for more instructions on how to use the accelerated styles effectively.


Mixing, shift, table, tail correction, restart, rRESPA info:

For atom type pairs I,J and I != J, the epsilon and sigma coefficients and cutoff distance for all of the lj/cut pair styles can be mixed. The default mix value is geometric. See the “pair_modify” command for details.

The lj/cubic pair style does not support the pair_modify shift option, since pair interaction is already smoothed to 0.0 at the cutoff.

The pair_modify table option is not relevant for this pair style.

The lj/cubic pair style does not support the pair_modify tail option for adding long-range tail corrections to energy and pressure, since there are no corrections for a potential that goes to 0.0 at the cutoff.

The lj/cubic pair style writes its information to binary restart files, so pair_style and pair_coeff commands do not need to be specified in an input script that reads a restart file.

The lj/cubic pair style can only be used via the pair keyword of the run_style respa command. It does not support the inner, middle, outer keywords.


Restrictions

none