pair_style lj/charmm/coul/charmm command

pair_style lj/charmm/coul/charmm/cuda command

pair_style lj/charmm/coul/charmm/omp command

pair_style lj/charmm/coul/charmm/implicit command

pair_style lj/charmm/coul/charmm/implicit/cuda command

pair_style lj/charmm/coul/charmm/implicit/omp command

pair_style lj/charmm/coul/long command

pair_style lj/charmm/coul/long/cuda command

pair_style lj/charmm/coul/long/gpu command

pair_style lj/charmm/coul/long/opt command

pair_style lj/charmm/coul/long/omp command

pair_style lj/charmm/coul/msm command

pair_style lj/charmm/coul/msm/omp command

Syntax

pair_style style args
  • style = lj/charmm/coul/charmm or lj/charmm/coul/charmm/implicit or lj/charmm/coul/long or lj/charmm/coul/msm

  • args = list of arguments for a particular style

lj/charmm/coul/charmm args = inner outer (inner2) (outer2)
  inner, outer = global switching cutoffs for Lennard Jones (and Coulombic if only 2 args)
  inner2, outer2 = global switching cutoffs for Coulombic (optional)
lj/charmm/coul/charmm/implicit args = inner outer (inner2) (outer2)
  inner, outer = global switching cutoffs for LJ (and Coulombic if only 2 args)
  inner2, outer2 = global switching cutoffs for Coulombic (optional)
lj/charmm/coul/long args = inner outer (cutoff)
  inner, outer = global switching cutoffs for LJ (and Coulombic if only 2 args)
  cutoff = global cutoff for Coulombic (optional, outer is Coulombic cutoff if only 2 args)
lj/charmm/coul/msm args = inner outer (cutoff)
  inner, outer = global switching cutoffs for LJ (and Coulombic if only 2 args)
  cutoff = global cutoff for Coulombic (optional, outer is Coulombic cutoff if only 2 args)

Examples

pair_style lj/charmm/coul/charmm 8.0 10.0
pair_style lj/charmm/coul/charmm 8.0 10.0 7.0 9.0
pair_coeff * * 100.0 2.0
pair_coeff 1 1 100.0 2.0 150.0 3.5

pair_style lj/charmm/coul/charmm/implicit 8.0 10.0
pair_style lj/charmm/coul/charmm/implicit 8.0 10.0 7.0 9.0
pair_coeff * * 100.0 2.0
pair_coeff 1 1 100.0 2.0 150.0 3.5

pair_style lj/charmm/coul/long 8.0 10.0
pair_style lj/charmm/coul/long 8.0 10.0 9.0
pair_coeff * * 100.0 2.0
pair_coeff 1 1 100.0 2.0 150.0 3.5

pair_style lj/charmm/coul/msm 8.0 10.0
pair_style lj/charmm/coul/msm 8.0 10.0 9.0
pair_coeff * * 100.0 2.0
pair_coeff 1 1 100.0 2.0 150.0 3.5

Description

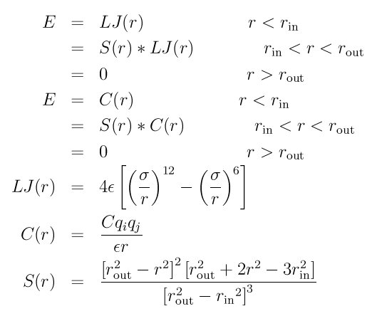
The lj/charmm styles compute LJ and Coulombic interactions with an additional switching function S(r) that ramps the energy and force smoothly to zero between an inner and outer cutoff. It is a widely used potential in the CHARMM MD code. See (MacKerell) for a description of the CHARMM force field.

images/pair_charmm.jpg

Both the LJ and Coulombic terms require an inner and outer cutoff. They can be the same for both formulas or different depending on whether 2 or 4 arguments are used in the pair_style command. In each case, the inner cutoff distance must be less than the outer cutoff. It it typical to make the difference between the 2 cutoffs about 1.0 Angstrom.

Style lj/charmm/coul/charmm/implicit computes the same formulas as style lj/charmm/coul/charmm except that an additional 1/r term is included in the Coulombic formula. The Coulombic energy thus varies as 1/r^2. This is effectively a distance-dependent dielectric term which is a simple model for an implicit solvent with additional screening. It is designed for use in a simulation of an unsolvated biomolecule (no explicit water molecules).

Styles lj/charmm/coul/long and lj/charmm/coul/msm compute the same formulas as style lj/charmm/coul/charmm except that an additional damping factor is applied to the Coulombic term, as described for the lj/cut pair styles. Only one Coulombic cutoff is specified for lj/charmm/coul/long and lj/charmm/coul/msm; if only 2 arguments are used in the pair_style command, then the outer LJ cutoff is used as the single Coulombic cutoff.

The following coefficients must be defined for each pair of atoms types via the pair_coeff command as in the examples above, or in the data file or restart files read by the read_data or read_restart commands, or by mixing as described below:

  • epsilon (energy units)

  • sigma (distance units)

  • epsilon_14 (energy units)

  • sigma_14 (distance units)

Note that sigma is defined in the LJ formula as the zero-crossing distance for the potential, not as the energy minimum at 2^(1/6) sigma.

The latter 2 coefficients are optional. If they are specified, they are used in the LJ formula between 2 atoms of these types which are also first and fourth atoms in any dihedral. No cutoffs are specified because this CHARMM force field does not allow varying cutoffs for individual atom pairs; all pairs use the global cutoff(s) specified in the pair_style command.


Styles with a cuda, gpu, omp, or opt suffix are functionally the same as the corresponding style without the suffix. They have been optimized to run faster, depending on your available hardware, as discussed in Section_accelerate of the manual. The accelerated styles take the same arguments and should produce the same results, except for round-off and precision issues.

These accelerated styles are part of the USER-CUDA, GPU, USER-OMP and OPT packages, respectively. They are only enabled if LAMMPS was built with those packages. See the Making LAMMPS section for more info.

You can specify the accelerated styles explicitly in your input script by including their suffix, or you can use the -suffix command-line switch when you invoke LAMMPS, or you can use the suffix command in your input script.

See Section_accelerate of the manual for more instructions on how to use the accelerated styles effectively.


Mixing, shift, table, tail correction, restart, rRESPA info:

For atom type pairs I,J and I != J, the epsilon, sigma, epsilon_14, and sigma_14 coefficients for all of the lj/charmm pair styles can be mixed. The default mix value is arithmetic to coincide with the usual settings for the CHARMM force field. See the “pair_modify” command for details.

None of the lj/charmm pair styles support the pair_modify shift option, since the Lennard-Jones portion of the pair interaction is smoothed to 0.0 at the cutoff.

The lj/charmm/coul/long style supports the pair_modify table option since it can tabulate the short-range portion of the long-range Coulombic interaction.

None of the lj/charmm pair styles support the pair_modify tail option for adding long-range tail corrections to energy and pressure, since the Lennard-Jones portion of the pair interaction is smoothed to 0.0 at the cutoff.

All of the lj/charmm pair styles write their information to binary restart files, so pair_style and pair_coeff commands do not need to be specified in an input script that reads a restart file.

The lj/charmm/coul/long pair style supports the use of the inner, middle, and outer keywords of the run_style respa command, meaning the pairwise forces can be partitioned by distance at different levels of the rRESPA hierarchy. The other styles only support the pair keyword of run_style respa. See the run_style command for details.


Restrictions

The lj/charmm/coul/charmm and lj/charmm/coul/charmm/implicit styles are part of the MOLECULE package. The lj/charmm/coul/long style is part of the KSPACE package. They are only enabled if LAMMPS was built with those packages. See the Making LAMMPS section for more info. Note that the MOLECULE and KSPACE packages are installed by default.