pair_style sw command

pair_style sw/cuda command

pair_style sw/gpu command

pair_style sw/omp command

Syntax

pair_style sw

Examples

pair_style sw
pair_coeff * * si.sw Si
pair_coeff * * GaN.sw Ga N Ga

Description

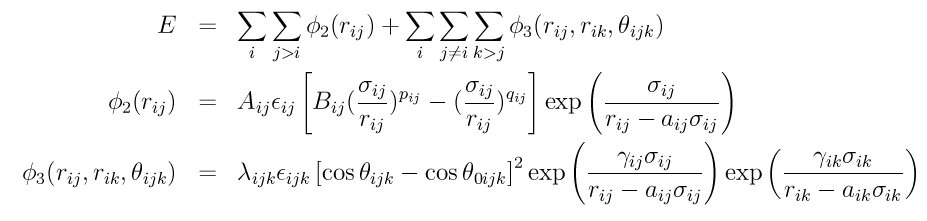
The sw style computes a 3-body Stillinger-Weber potential for the energy E of a system of atoms as

images/pair_sw.jpg

where phi2 is a two-body term and phi3 is a three-body term. The summations in the formula are over all neighbors J and K of atom I within a cutoff distance = a*sigma.

Only a single pair_coeff command is used with the sw style which specifies a Stillinger-Weber potential file with parameters for all needed elements. These are mapped to LAMMPS atom types by specifying N additional arguments after the filename in the pair_coeff command, where N is the number of LAMMPS atom types:

  • filename

  • N element names = mapping of SW elements to atom types

See the pair_coeff doc page for alternate ways to specify the path for the potential file.

As an example, imagine a file SiC.sw has Stillinger-Weber values for Si and C. If your LAMMPS simulation has 4 atoms types and you want the 1st 3 to be Si, and the 4th to be C, you would use the following pair_coeff command:

pair_coeff * * SiC.sw Si Si Si C

The 1st 2 arguments must be * * so as to span all LAMMPS atom types. The first three Si arguments map LAMMPS atom types 1,2,3 to the Si element in the SW file. The final C argument maps LAMMPS atom type 4 to the C element in the SW file. If a mapping value is specified as NULL, the mapping is not performed. This can be used when a sw potential is used as part of the hybrid pair style. The NULL values are placeholders for atom types that will be used with other potentials.

Stillinger-Weber files in the potentials directory of the LAMMPS distribution have a “.sw” suffix. Lines that are not blank or comments (starting with #) define parameters for a triplet of elements. The parameters in a single entry correspond to the two-body and three-body coefficients in the formula above:

  • element 1 (the center atom in a 3-body interaction)

  • element 2

  • element 3

  • epsilon (energy units)

  • sigma (distance units)

  • a

  • lambda

  • gamma

  • costheta0

  • A

  • B

  • p

  • q

  • tol

The A, B, p, and q parameters are used only for two-body interactions. The lambda and costheta0 parameters are used only for three-body interactions. The epsilon, sigma and a parameters are used for both two-body and three-body interactions. gamma is used only in the three-body interactions, but is defined for pairs of atoms. The non-annotated parameters are unitless.

LAMMPS introduces an additional performance-optimization parameter tol that is used for both two-body and three-body interactions. In the Stillinger-Weber potential, the interaction energies become negligibly small at atomic separations substantially less than the theoretical cutoff distances. LAMMPS therefore defines a virtual cutoff distance based on a user defined tolerance tol. The use of the virtual cutoff distance in constructing atom neighbor lists can significantly reduce the neighbor list sizes and therefore the computational cost. LAMMPS provides a tol value for each of the three-body entries so that they can be separately controlled. If tol = 0.0, then the standard Stillinger-Weber cutoff is used.

The Stillinger-Weber potential file must contain entries for all the elements listed in the pair_coeff command. It can also contain entries for additional elements not being used in a particular simulation; LAMMPS ignores those entries.

For a single-element simulation, only a single entry is required (e.g. SiSiSi). For a two-element simulation, the file must contain 8 entries (for SiSiSi, SiSiC, SiCSi, SiCC, CSiSi, CSiC, CCSi, CCC), that specify SW parameters for all permutations of the two elements interacting in three-body configurations. Thus for 3 elements, 27 entries would be required, etc.

As annotated above, the first element in the entry is the center atom in a three-body interaction. Thus an entry for SiCC means a Si atom with 2 C atoms as neighbors. The parameter values used for the two-body interaction come from the entry where the 2nd and 3rd elements are the same. Thus the two-body parameters for Si interacting with C, comes from the SiCC entry. The three-body parameters can in principle be specific to the three elements of the configuration. In the literature, however, the three-body parameters are usually defined by simple formulas involving two sets of pair-wise parameters, corresponding to the ij and ik pairs, where i is the center atom. The user must ensure that the correct combining rule is used to calculate the values of the threebody parameters for alloys. Note also that the function phi3 contains two exponential screening factors with parameter values from the ij pair and ik pairs. So phi3 for a C atom bonded to a Si atom and a second C atom will depend on the three-body parameters for the CSiC entry, and also on the two-body parameters for the CCC and CSiSi entries. Since the order of the two neighbors is arbitrary, the threebody parameters for entries CSiC and CCSi should be the same. Similarly, the two-body parameters for entries SiCC and CSiSi should also be the same. The parameters used only for two-body interactions (A, B, p, and q) in entries whose 2nd and 3rd element are different (e.g. SiCSi) are not used for anything and can be set to 0.0 if desired. This is also true for the parameters in phi3 that are taken from the ij and ik pairs (sigma, a, gamma)


Styles with a cuda, gpu, omp, or opt suffix are functionally the same as the corresponding style without the suffix. They have been optimized to run faster, depending on your available hardware, as discussed in Section_accelerate of the manual. The accelerated styles take the same arguments and should produce the same results, except for round-off and precision issues.

These accelerated styles are part of the USER-CUDA, GPU, USER-OMP and OPT packages, respectively. They are only enabled if LAMMPS was built with those packages. See the Making LAMMPS section for more info.

You can specify the accelerated styles explicitly in your input script by including their suffix, or you can use the -suffix command-line switch when you invoke LAMMPS, or you can use the suffix command in your input script.

See Section_accelerate of the manual for more instructions on how to use the accelerated styles effectively.


Mixing, shift, table, tail correction, restart, rRESPA info:

For atom type pairs I,J and I != J, where types I and J correspond to two different element types, mixing is performed by LAMMPS as described above from values in the potential file.

This pair style does not support the pair_modify shift, table, and tail options.

This pair style does not write its information to binary restart files, since it is stored in potential files. Thus, you need to re-specify the pair_style and pair_coeff commands in an input script that reads a restart file.

This pair style can only be used via the pair keyword of the run_style respa command. It does not support the inner, middle, outer keywords.


Restrictions

This pair style is part of the MANYBODY package. It is only enabled if LAMMPS was built with that package (which it is by default). See the Making LAMMPS section for more info.

This pair style requires the newton setting to be “on” for pair interactions.

The Stillinger-Weber potential files provided with LAMMPS (see the potentials directory) are parameterized for metal units. You can use the SW potential with any LAMMPS units, but you would need to create your own SW potential file with coefficients listed in the appropriate units if your simulation doesn’t use “metal” units.

The sw/gpu style is currently limited to a single element.