pair_style lj/expand command

pair_style lj/expand/cuda command

pair_style lj/expand/gpu command

pair_style lj/expand/omp command

Syntax

pair_style lj/expand cutoff
  • cutoff = global cutoff for lj/expand interactions (distance units)

Examples

pair_style lj/expand 2.5
pair_coeff * * 1.0 1.0 0.5
pair_coeff 1 1 1.0 1.0 -0.2 2.0

Description

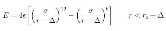
Style lj/expand computes a LJ interaction with a distance shifted by delta which can be useful when particles are of different sizes, since it is different that using different sigma values in a standard LJ formula:

images/pair_lj_expand.jpg

Rc is the cutoff which does not include the delta distance. I.e. the actual force cutoff is the sum of cutoff + delta.

The following coefficients must be defined for each pair of atoms types via the pair_coeff command as in the examples above, or in the data file or restart files read by the read_data or read_restart commands, or by mixing as described below:

  • epsilon (energy units)

  • sigma (distance units)

  • delta (distance units)

  • cutoff (distance units)

The delta values can be positive or negative. The last coefficient is optional. If not specified, the global LJ cutoff is used.


Styles with a cuda, gpu, omp, or opt suffix are functionally the same as the corresponding style without the suffix. They have been optimized to run faster, depending on your available hardware, as discussed in Section_accelerate of the manual. The accelerated styles take the same arguments and should produce the same results, except for round-off and precision issues.

These accelerated styles are part of the USER-CUDA, GPU, USER-OMP and OPT packages, respectively. They are only enabled if LAMMPS was built with those packages. See the Making LAMMPS section for more info.

You can specify the accelerated styles explicitly in your input script by including their suffix, or you can use the -suffix command-line switch when you invoke LAMMPS, or you can use the suffix command in your input script.

See Section_accelerate of the manual for more instructions on how to use the accelerated styles effectively.


Mixing, shift, table, tail correction, restart, rRESPA info:

For atom type pairs I,J and I != J, the epsilon, sigma, and shift coefficients and cutoff distance for this pair style can be mixed. Shift is always mixed via an arithmetic rule. The other coefficients are mixed according to the pair_modify mix value. The default mix value is geometric. See the “pair_modify” command for details.

This pair style supports the pair_modify shift option for the energy of the pair interaction.

The pair_modify table option is not relevant for this pair style.

This pair style supports the pair_modify tail option for adding a long-range tail correction to the energy and pressure of the pair interaction.

This pair style writes its information to binary restart files, so pair_style and pair_coeff commands do not need to be specified in an input script that reads a restart file.

This pair style can only be used via the pair keyword of the run_style respa command. It does not support the inner, middle, outer keywords.


Restrictions

none