pair_style mie/cut command

pair_style mie/cut/gpu command

Syntax

pair_style mie/cut cutoff
  • cutoff = global cutoff for mie/cut interactions (distance units)

Examples

pair_style mie/cut 10.0
pair_coeff 1 1 0.72 3.40 23.00 6.66
pair_coeff 2 2 0.30 3.55 12.65 6.00
pair_coeff 1 2 0.46 3.32 16.90 6.31

Description

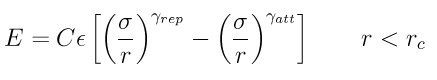
The mie/cut style computes the Mie potential, given by

images/pair_mie.jpg

Rc is the cutoff and C is a function that depends on the repulsive and attractive exponents, given by:

images/pair_mie2.jpg

Note that for 12/6 exponents, C is equal to 4 and the formula is the same as the standard Lennard-Jones potential.

The following coefficients must be defined for each pair of atoms types via the pair_coeff command as in the examples above, or in the data file or restart files read by the read_data or read_restart commands, or by mixing as described below:

  • epsilon (energy units)

  • sigma (distance units)

  • gammaR

  • gammaA

  • cutoff (distance units)

The last coefficient is optional. If not specified, the global cutoff specified in the pair_style command is used.


Mixing, shift, table, tail correction, restart, rRESPA info:

For atom type pairs I,J and I != J, the epsilon and sigma coefficients and cutoff distance for all of the mie/cut pair styles can be mixed. If not explicitly defined, both the repulsive and attractive gamma exponents for different atoms will be calculated following the same mixing rule defined for distances. The default mix value is geometric. See the “pair_modify” command for details.

This pair style supports the pair_modify shift option for the energy of the pair interaction.

This pair style supports the pair_modify tail option for adding a long-range tail correction to the energy and pressure of the pair interaction.

This pair style writes its information to binary restart files, so pair_style and pair_coeff commands do not need to be specified in an input script that reads a restart file.

This pair style supports the use of the inner, middle, and outer keywords of the run_style respa command, meaning the pairwise forces can be partitioned by distance at different levels of the rRESPA hierarchy. See the run_style command for details.


Restrictions

none