pair_style born command¶
pair_style born/omp command¶
pair_style born/gpu command¶
pair_style born/coul/long command¶
pair_style born/coul/long/cuda command¶
pair_style born/coul/long/gpu command¶
pair_style born/coul/long/omp command¶
pair_style born/coul/msm command¶
pair_style born/coul/msm/omp command¶
pair_style born/coul/wolf command¶
pair_style born/coul/wolf/gpu command¶
pair_style born/coul/wolf/omp command¶
Syntax¶
pair_style style args
- style = born or born/coul/long or born/coul/msm or born/coul/wolf 
- args = list of arguments for a particular style 
born args = cutoff cutoff = global cutoff for non-Coulombic interactions (distance units) born/coul/long args = cutoff (cutoff2) cutoff = global cutoff for non-Coulombic (and Coulombic if only 1 arg) (distance units) cutoff2 = global cutoff for Coulombic (optional) (distance units) born/coul/msm args = cutoff (cutoff2) cutoff = global cutoff for non-Coulombic (and Coulombic if only 1 arg) (distance units) cutoff2 = global cutoff for Coulombic (optional) (distance units) born/coul/wolf args = alpha cutoff (cutoff2) alpha = damping parameter (inverse distance units) cutoff = global cutoff for non-Coulombic (and Coulombic if only 1 arg) (distance units) cutoff2 = global cutoff for Coulombic (optional) (distance units)
Examples¶
pair_style born 10.0 pair_coeff * * 6.08 0.317 2.340 24.18 11.51 pair_coeff 1 1 6.08 0.317 2.340 24.18 11.51 pair_style born/coul/long 10.0 pair_style born/coul/long 10.0 8.0 pair_coeff * * 6.08 0.317 2.340 24.18 11.51 pair_coeff 1 1 6.08 0.317 2.340 24.18 11.51 pair_style born/coul/msm 10.0 pair_style born/coul/msm 10.0 8.0 pair_coeff * * 6.08 0.317 2.340 24.18 11.51 pair_coeff 1 1 6.08 0.317 2.340 24.18 11.51 pair_style born/coul/wolf 0.25 10.0 pair_style born/coul/wolf 0.25 10.0 9.0 pair_coeff * * 6.08 0.317 2.340 24.18 11.51 pair_coeff 1 1 6.08 0.317 2.340 24.18 11.51
Description¶
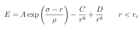
The born style computes the Born-Mayer-Huggins or Tosi/Fumi potential described in (Fumi and Tosi), given by
 
where sigma is an interaction-dependent length parameter, rho is an ionic-pair dependent length parameter, and Rc is the cutoff.
The styles with coul/long or coul/msm add a Coulombic term as described for the lj/cut pair styles. An additional damping factor is applied to the Coulombic term so it can be used in conjunction with the kspace_style command and its ewald or pppm of msm option. The Coulombic cutoff specified for this style means that pairwise interactions within this distance are computed directly; interactions outside that distance are computed in reciprocal space.
If one cutoff is specified for the born/coul/long and born/coul/msm style, it is used for both the A,C,D and Coulombic terms. If two cutoffs are specified, the first is used as the cutoff for the A,C,D terms, and the second is the cutoff for the Coulombic term.
The born/coul/wolf style adds a Coulombic term as described for the Wolf potential in the coul/wolf pair style.
Note that these potentials are related to the Buckingham potential.
The following coefficients must be defined for each pair of atoms types via the pair_coeff command as in the examples above, or in the data file or restart files read by the read_data or read_restart commands, or by mixing as described below:
- A (energy units) 
- rho (distance units) 
- sigma (distance units) 
- C (energy units * distance units^6) 
- D (energy units * distance units^8) 
- cutoff (distance units) 
The second coefficient, rho, must be greater than zero.
The last coefficient is optional. If not specified, the global A,C,D cutoff specified in the pair_style command is used.
For born/coul/long and born/coul/wolf no Coulombic cutoff can be specified for an individual I,J type pair. All type pairs use the same global Coulombic cutoff specified in the pair_style command.
Styles with a cuda, gpu, omp, or opt suffix are functionally the same as the corresponding style without the suffix. They have been optimized to run faster, depending on your available hardware, as discussed in Section_accelerate of the manual. The accelerated styles take the same arguments and should produce the same results, except for round-off and precision issues.
These accelerated styles are part of the USER-CUDA, GPU, USER-OMP and OPT packages, respectively. They are only enabled if LAMMPS was built with those packages. See the Making LAMMPS section for more info.
You can specify the accelerated styles explicitly in your input script by including their suffix, or you can use the -suffix command-line switch when you invoke LAMMPS, or you can use the suffix command in your input script.
See Section_accelerate of the manual for more instructions on how to use the accelerated styles effectively.
Mixing, shift, table, tail correction, restart, rRESPA info:
These pair styles do not support mixing. Thus, coefficients for all I,J pairs must be specified explicitly.
These styles support the pair_modify shift option for the energy of the exp(), 1/r^6, and 1/r^8 portion of the pair interaction.
The born/coul/long pair style supports the pair_modify table option ti tabulate the short-range portion of the long-range Coulombic interaction.
These styles support the pair_modify tail option for adding long-range tail corrections to energy and pressure.
Thess styles writes thei information to binary restart files, so pair_style and pair_coeff commands do not need to be specified in an input script that reads a restart file.
These styles can only be used via the pair keyword of the run_style respa command. They do not support the inner, middle, outer keywords.
Restrictions¶
The born/coul/long style is part of the KSPACE package. It is only enabled if LAMMPS was built with that package (which it is by default). See the Making LAMMPS section for more info.