pair_style lubricateU command

pair_style lubricateU/poly command

Syntax

pair_style style mu flaglog cutinner cutoff gdot flagHI flagVF
  • style = lubricateU or lubricateU/poly

  • mu = dynamic viscosity (dynamic viscosity units)

  • flaglog = 0/1 to exclude/include log terms in the lubrication approximation

  • cutinner = inner cut off distance (distance units)

  • cutoff = outer cutoff for interactions (distance units)

  • gdot = shear rate (1/time units)

  • flagHI (optional) = 0/1 to exclude/include 1/r hydrodynamic interactions

  • flagVF (optional) = 0/1 to exclude/include volume fraction corrections in the long-range isotropic terms

Examples: (all assume radius = 1)

pair_style lubricateU 1.5 1 2.01 2.5 0.01 1 1
pair_coeff 1 1 2.05 2.8
pair_coeff * *

Description

Styles lubricateU and lubricateU/poly compute velocities and angular velocities such that the hydrodynamic interaction balances the force and torque due to all other types of interactions.

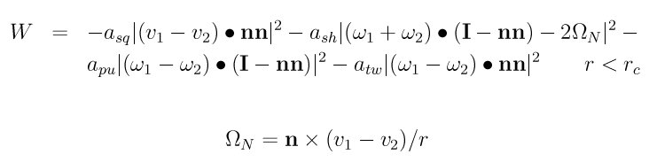
The interactions have 2 components. The first is Ball-Melrose lubrication terms via the formulas in (Ball and Melrose)

images/pair_lubricate.jpg

which represents the dissipation W between two nearby particles due to their relative velocities in the presence of a background solvent with viscosity mu. Note that this is dynamic viscosity which has units of mass/distance/time, not kinematic viscosity.

The Asq (squeeze) term is the strongest and is included as long as flagHI is set to 1 (default). It scales as 1/gap where gap is the separation between the surfaces of the 2 particles. The Ash (shear) and Apu (pump) terms are only included if flaglog is set to 1. They are the next strongest interactions, and the only other singular interaction, and scale as log(gap). Note that flaglog = 1 and flagHI = 0 is invalid, and will result in a warning message, after which flagHI will be set to 1. The Atw (twist) term is currently not included. It is typically a very small contribution to the lubrication forces.

The flagHI and flagVF settings are optional. Neither should be used, or both must be defined.

Cutinner sets the minimum center-to-center separation that will be used in calculations irrespective of the actual separation. Cutoff is the maximum center-to-center separation at which an interaction is computed. Using a cutoff less than 3 radii is recommended if flaglog is set to 1.

The other component is due to the Fast Lubrication Dynamics (FLD) approximation, described in (Kumar). The equation being solved to balance the forces and torques is

images/fld2.jpg

where U represents the velocities and angular velocities of the particles, U^infty represents the velocities and the angular velocities of the undisturbed fluid, and E^infty represents the rate of strain tensor of the undisturbed fluid flow with viscosity mu. Again, note that this is dynamic viscosity which has units of mass/distance/time, not kinematic viscosity. Volume fraction corrections to R_FU are included if flagVF is set to 1 (default).

Frest represents the forces and torques due to all other types of interactions, e.g. Brownian, electrostatic etc. Note that this algorithm neglects the inertial terms, thereby removing the restriction of resolving the small interial time scale, which may not be of interest for colloidal particles. This pair style solves for the velocity such that the hydrodynamic force balances all other types of forces, thereby resulting in a net zero force (zero inertia limit). When defining this pair style, it must be defined last so that when this style is invoked all other types of forces have already been computed. For the same reason, it won’t work if additional non-pair styles are defined (such as bond or Kspace forces) as they are calculated in LAMMPS after the pairwise interactions have been computed.

Warning

When using these styles, the these pair styles are designed to be used with implicit time integration and a correspondingly larger timestep. Thus either fix nve/noforce should be used for spherical particles defined via atom_style sphere or fix nve/asphere/noforce should be used for spherical particles defined via atom_style ellipsoid. This is because the velocity and angular momentum of each particle is set by the pair style, and should not be reset by the time integration fix.

Style lubricateU requires monodisperse spherical particles; style lubricateU/poly allows for polydisperse spherical particles.

If the suspension is sheared via the fix deform command then the pair style uses the shear rate to adjust the hydrodynamic interactions accordingly. Volume changes due to fix deform are accounted for when computing the volume fraction corrections to R_FU.

When computing the volume fraction corrections to R_FU, the presence of walls (whether moving or stationary) will affect the volume fraction available to colloidal particles. This is currently accounted for with the following types of walls: wall/lj93, wall/lj126, wall/colloid, and wall/harmonic. For these wall styles, the correct volume fraction will be used when walls do not coincide with the box boundary, as well as when walls move and thereby cause a change in the volume fraction. To use these wall styles with pair_style lubricateU or lubricateU/poly, the fld yes option must be specified in the fix wall command.

Since lubrication forces are dissipative, it is usually desirable to thermostat the system at a constant temperature. If Brownian motion (at a constant temperature) is desired, it can be set using the pair_style brownian command. These pair styles and the brownian style should use consistent parameters for mu, flaglog, flagfld, cutinner, cutoff, flagHI and flagVF.


The following coefficients must be defined for each pair of atoms types via the pair_coeff command as in the examples above, or in the data file or restart files read by the read_data or read_restart commands, or by mixing as described below:

  • cutinner (distance units)

  • cutoff (distance units)

The two coefficients are optional. If neither is specified, the two cutoffs specified in the pair_style command are used. Otherwise both must be specified.


Mixing, shift, table, tail correction, restart, rRESPA info:

For atom type pairs I,J and I != J, the two cutoff distances for this pair style can be mixed. The default mix value is geometric. See the “pair_modify” command for details.

This pair style does not support the pair_modify shift option for the energy of the pair interaction.

The pair_modify table option is not relevant for this pair style.

This pair style does not support the pair_modify tail option for adding long-range tail corrections to energy and pressure.

This pair style writes its information to binary restart files, so pair_style and pair_coeff commands do not need to be specified in an input script that reads a restart file.

This pair style can only be used via the pair keyword of the run_style respa command. It does not support the inner, middle, outer keywords.


Restrictions

These styles are part of the FLD package. They are only enabled if LAMMPS was built with that package. See the Making LAMMPS with optional packages section for more info.

Currently, these pair styles assume that all other types of forces/torques on the particles have been already been computed when it is invoked. This requires this style to be defined as the last of the pair styles, and that no fixes apply additional constraint forces. One exception is the fix wall/colloid commands, which has an “fld” option to apply their wall forces correctly.

Only spherical monodisperse particles are allowed for pair_style lubricateU.

Only spherical particles are allowed for pair_style lubricateU/poly.

For sheared suspensions, it is assumed that the shearing is done in the xy plane, with x being the velocity direction and y being the velocity-gradient direction. In this case, one must use fix deform with the same rate of shear (erate).

Default

The default settings for the optional args are flagHI = 1 and flagVF = 1.


(Ball) Ball and Melrose, Physica A, 247, 444-472 (1997).

(Kumar) Kumar and Higdon, Phys Rev E, 82, 051401 (2010).