pair_style tersoff command

pair_style tersoff/table command

pair_style tersoff/cuda

pair_style tersoff/omp

pair_style tersoff/table/omp command

Syntax

pair_style style

style = tersoff or tersoff/table or tersoff/cuda or tersoff/omp or tersoff/table/omp

Examples

pair_style tersoff
pair_coeff * * Si.tersoff Si
pair_coeff * * SiC.tersoff Si C Si

pair_style tersoff/table
pair_coeff * * SiCGe.tersoff Si(D)

Description

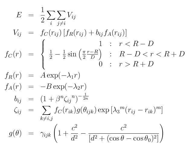
The tersoff style computes a 3-body Tersoff potential (Tersoff_1) for the energy E of a system of atoms as

images/pair_tersoff_1.jpg

where f_R is a two-body term and f_A includes three-body interactions. The summations in the formula are over all neighbors J and K of atom I within a cutoff distance = R + D.

The tersoff/table style uses tabulated forms for the two-body, environment and angular functions. Linear interpolation is performed between adjacent table entries. The table length is chosen to be accurate within 10^-6 with respect to the tersoff style energy. The tersoff/table should give better performance in terms of speed.

Only a single pair_coeff command is used with the tersoff style which specifies a Tersoff potential file with parameters for all needed elements. These are mapped to LAMMPS atom types by specifying N additional arguments after the filename in the pair_coeff command, where N is the number of LAMMPS atom types:

  • filename

  • N element names = mapping of Tersoff elements to atom types

See the pair_coeff doc page for alternate ways to specify the path for the potential file.

As an example, imagine the SiC.tersoff file has Tersoff values for Si and C. If your LAMMPS simulation has 4 atoms types and you want the 1st 3 to be Si, and the 4th to be C, you would use the following pair_coeff command:

pair_coeff * * SiC.tersoff Si Si Si C

The 1st 2 arguments must be * * so as to span all LAMMPS atom types. The first three Si arguments map LAMMPS atom types 1,2,3 to the Si element in the Tersoff file. The final C argument maps LAMMPS atom type 4 to the C element in the Tersoff file. If a mapping value is specified as NULL, the mapping is not performed. This can be used when a tersoff potential is used as part of the hybrid pair style. The NULL values are placeholders for atom types that will be used with other potentials.

Tersoff files in the potentials directory of the LAMMPS distribution have a “.tersoff” suffix. Lines that are not blank or comments (starting with #) define parameters for a triplet of elements. The parameters in a single entry correspond to coefficients in the formula above:

  • element 1 (the center atom in a 3-body interaction)

  • element 2 (the atom bonded to the center atom)

  • element 3 (the atom influencing the 1-2 bond in a bond-order sense)

  • m

  • gamma

  • lambda3 (1/distance units)

  • c

  • d

  • costheta0 (can be a value < -1 or > 1)

  • n

  • beta

  • lambda2 (1/distance units)

  • B (energy units)

  • R (distance units)

  • D (distance units)

  • lambda1 (1/distance units)

  • A (energy units)

The n, beta, lambda2, B, lambda1, and A parameters are only used for two-body interactions. The m, gamma, lambda3, c, d, and costheta0 parameters are only used for three-body interactions. The R and D parameters are used for both two-body and three-body interactions. The non-annotated parameters are unitless. The value of m must be 3 or 1.

The Tersoff potential file must contain entries for all the elements listed in the pair_coeff command. It can also contain entries for additional elements not being used in a particular simulation; LAMMPS ignores those entries.

For a single-element simulation, only a single entry is required (e.g. SiSiSi). For a two-element simulation, the file must contain 8 entries (for SiSiSi, SiSiC, SiCSi, SiCC, CSiSi, CSiC, CCSi, CCC), that specify Tersoff parameters for all permutations of the two elements interacting in three-body configurations. Thus for 3 elements, 27 entries would be required, etc.

As annotated above, the first element in the entry is the center atom in a three-body interaction and it is bonded to the 2nd atom and the bond is influenced by the 3rd atom. Thus an entry for SiCC means Si bonded to a C with another C atom influencing the bond. Thus three-body parameters for SiCSi and SiSiC entries will not, in general, be the same. The parameters used for the two-body interaction come from the entry where the 2nd element is repeated. Thus the two-body parameters for Si interacting with C, comes from the SiCC entry.

The parameters used for a particular three-body interaction come from the entry with the corresponding three elements. The parameters used only for two-body interactions (n, beta, lambda2, B, lambda1, and A) in entries whose 2nd and 3rd element are different (e.g. SiCSi) are not used for anything and can be set to 0.0 if desired.

Note that the twobody parameters in entries such as SiCC and CSiSi are often the same, due to the common use of symmetric mixing rules, but this is not always the case. For example, the beta and n parameters in Tersoff_2 (Tersoff_2) are not symmetric.

We chose the above form so as to enable users to define all commonly used variants of the Tersoff potential. In particular, our form reduces to the original Tersoff form when m = 3 and gamma = 1, while it reduces to the form of Albe et al. when beta = 1 and m = 1. Note that in the current Tersoff implementation in LAMMPS, m must be specified as either 3 or 1. Tersoff used a slightly different but equivalent form for alloys, which we will refer to as Tersoff_2 potential (Tersoff_2). The tersoff/table style implements Tersoff_2 parameterization only.

LAMMPS parameter values for Tersoff_2 can be obtained as follows: gamma_ijk = omega_ik, lambda3 = 0 and the value of m has no effect. The parameters for species i and j can be calculated using the Tersoff_2 mixing rules:

images/pair_tersoff_2.jpg

Tersoff_2 parameters R and S must be converted to the LAMMPS parameters R and D (R is different in both forms), using the following relations: R=(R’+S’)/2 and D=(S’-R’)/2, where the primes indicate the Tersoff_2 parameters.

In the potentials directory, the file SiCGe.tersoff provides the LAMMPS parameters for Tersoff’s various versions of Si, as well as his alloy parameters for Si, C, and Ge. This file can be used for pure Si, (three different versions), pure C, pure Ge, binary SiC, and binary SiGe. LAMMPS will generate an error if this file is used with any combination involving C and Ge, since there are no entries for the GeC interactions (Tersoff did not publish parameters for this cross-interaction.) Tersoff files are also provided for the SiC alloy (SiC.tersoff) and the GaN (GaN.tersoff) alloys.

Many thanks to Rutuparna Narulkar, David Farrell, and Xiaowang Zhou for helping clarify how Tersoff parameters for alloys have been defined in various papers.


Styles with a cuda, gpu, omp, or opt suffix are functionally the same as the corresponding style without the suffix. They have been optimized to run faster, depending on your available hardware, as discussed in Section_accelerate of the manual. The accelerated styles take the same arguments and should produce the same results, except for round-off and precision issues.

These accelerated styles are part of the USER-CUDA, GPU, USER-OMP and OPT packages, respectively. They are only enabled if LAMMPS was built with those packages. See the Making LAMMPS section for more info.

You can specify the accelerated styles explicitly in your input script by including their suffix, or you can use the -suffix command-line switch when you invoke LAMMPS, or you can use the suffix command in your input script.

See Section_accelerate of the manual for more instructions on how to use the accelerated styles effectively.


Mixing, shift, table, tail correction, restart, rRESPA info:

For atom type pairs I,J and I != J, where types I and J correspond to two different element types, mixing is performed by LAMMPS as described above from values in the potential file.

This pair style does not support the pair_modify shift, table, and tail options.

This pair style does not write its information to binary restart files, since it is stored in potential files. Thus, you need to re-specify the pair_style and pair_coeff commands in an input script that reads a restart file.

This pair style can only be used via the pair keyword of the run_style respa command. It does not support the inner, middle, outer keywords.


Restrictions

This pair style is part of the MANYBODY package. It is only enabled if LAMMPS was built with that package (which it is by default). See the Making LAMMPS section for more info.

This pair style requires the newton setting to be “on” for pair interactions.

The Tersoff potential files provided with LAMMPS (see the potentials directory) are parameterized for metal units. You can use the Tersoff potential with any LAMMPS units, but you would need to create your own Tersoff potential file with coefficients listed in the appropriate units if your simulation doesn’t use “metal” units.