pair_style zbl command

pair_style zbl/omp command

Syntax

pair_style zbl inner outer
  • inner = distance where switching function begins

  • outer = global cutoff for ZBL interaction

Examples

pair_style zbl 3.0 4.0
pair_coeff * * 73.0
pair_coeff 1 1 14.0

Description

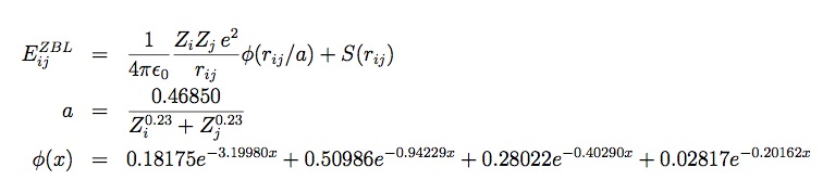
Style zbl computes the Ziegler-Biersack-Littmark (ZBL) screened nuclear repulsion for describing high-energy collisions between atoms. (Ziegler). It includes an additional switching function that ramps the energy, force, and curvature smoothly to zero between an inner and outer cutoff. The potential energy due to a pair of atoms at a distance r_ij is given by:

images/pair_zbl.jpg

where e is the electron charge, epsilon_0 is the electrical permittivity of vacuum, and Z_i and Z_j are the nuclear charges of the two atoms in electron charge units. The switching function S(r) is identical to that used by pair_style lj/gromacs. Here, the inner and outer cutoff are the same for all pairs of atom types.

The following coefficient must be defined for each pair of atom types via the pair_coeff command as in the examples above, or in the LAMMPS data file. Z can not be specified for two different atoms types. Therefore the lists of atom types I and atom types J must match.

  • Z (electron charge)

Although Z must be defined for all atom type pairs I,J, it is only stored for individual atom types, i.e. when I = J. Z is normally equal to the atomic number of the atom type.

Warning

The numerical values of the exponential decay constants in the screening function depend on the unit of distance. In the above equation they are given for units of angstroms. LAMMPS will automatically convert these values to the distance unit of the specified LAMMPS units setting. The values of Z should always be given in units of electron charge.


Styles with a cuda, gpu, omp, or opt suffix are functionally the same as the corresponding style without the suffix. They have been optimized to run faster, depending on your available hardware, as discussed in Section_accelerate of the manual. The accelerated styles take the same arguments and should produce the same results, except for round-off and precision issues.

These accelerated styles are part of the USER-CUDA, GPU, USER-OMP and OPT packages, respectively. They are only enabled if LAMMPS was built with those packages. See the Making LAMMPS section for more info.

You can specify the accelerated styles explicitly in your input script by including their suffix, or you can use the -suffix command-line switch when you invoke LAMMPS, or you can use the suffix command in your input script.

See Section_accelerate of the manual for more instructions on how to use the accelerated styles effectively.


Mixing, shift, table, tail correction, restart, rRESPA info:

Mixing is not relevant for this pair style, since as explained above, Z values are stored on a per-type basis, and both Zi and Zj are used explicitly in the ZBL formula.

The ZBL pair style does not support the pair_modify shift option, since the ZBL interaction is already smoothed to 0.0 at the cutoff.

The pair_modify table option is not relevant for this pair style.

This pair style does not support the pair_modify tail option for adding long-range tail corrections to energy and pressure, since there are no corrections for a potential that goes to 0.0 at the cutoff.

This pair style does not write information to binary restart files, so pair_style and pair_coeff commands must be specified in an input script that reads a restart file.

This pair style can only be used via the pair keyword of the run_style respa command. It does not support the inner, middle, outer keywords.


Restrictions

none