pair_style buck command

pair_style buck/cuda command

pair_style buck/gpu command

pair_style buck/omp command

pair_style buck/coul/cut command

pair_style buck/coul/cut/cuda command

pair_style buck/coul/cut/gpu command

pair_style buck/coul/cut/omp command

pair_style buck/coul/long command

pair_style buck/coul/long/cuda command

pair_style buck/coul/long/gpu command

pair_style buck/coul/long/omp command

pair_style buck/coul/msm command

pair_style buck/coul/msm/omp command

Syntax

pair_style style args
  • style = buck or buck/coul/cut or buck/coul/long or buck/coul/msm

  • args = list of arguments for a particular style

buck args = cutoff
  cutoff = global cutoff for Buckingham interactions (distance units)
buck/coul/cut args = cutoff (cutoff2)
  cutoff = global cutoff for Buckingham (and Coulombic if only 1 arg) (distance units)
  cutoff2 = global cutoff for Coulombic (optional) (distance units)
buck/coul/long args = cutoff (cutoff2)
  cutoff = global cutoff for Buckingham (and Coulombic if only 1 arg) (distance units)
  cutoff2 = global cutoff for Coulombic (optional) (distance units)
buck/coul/msm args = cutoff (cutoff2)
  cutoff = global cutoff for Buckingham (and Coulombic if only 1 arg) (distance units)
  cutoff2 = global cutoff for Coulombic (optional) (distance units)

Examples

pair_style buck 2.5
pair_coeff * * 100.0 1.5 200.0
pair_coeff * * 100.0 1.5 200.0 3.0

pair_style buck/coul/cut 10.0
pair_style buck/coul/cut 10.0 8.0
pair_coeff * * 100.0 1.5 200.0
pair_coeff 1 1 100.0 1.5 200.0 9.0
pair_coeff 1 1 100.0 1.5 200.0 9.0 8.0

pair_style buck/coul/long 10.0
pair_style buck/coul/long 10.0 8.0
pair_coeff * * 100.0 1.5 200.0
pair_coeff 1 1 100.0 1.5 200.0 9.0

pair_style buck/coul/msm 10.0
pair_style buck/coul/msm 10.0 8.0
pair_coeff * * 100.0 1.5 200.0
pair_coeff 1 1 100.0 1.5 200.0 9.0

Description

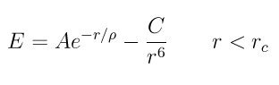
The buck style computes a Buckingham potential (exp/6 instead of Lennard-Jones 12/6) given by

images/pair_buck.jpg

where rho is an ionic-pair dependent length parameter, and Rc is the cutoff on both terms.

The styles with coul/cut or coul/long or coul/msm add a Coulombic term as described for the lj/cut pair styles. For buck/coul/long and buc/coul/msm, an additional damping factor is applied to the Coulombic term so it can be used in conjunction with the kspace_style command and its ewald or pppm or msm option. The Coulombic cutoff specified for this style means that pairwise interactions within this distance are computed directly; interactions outside that distance are computed in reciprocal space.

If one cutoff is specified for the born/coul/cut and born/coul/long and born/coul/msm styles, it is used for both the A,C and Coulombic terms. If two cutoffs are specified, the first is used as the cutoff for the A,C terms, and the second is the cutoff for the Coulombic term.

Note that these potentials are related to the Born-Mayer-Huggins potential.

Warning

For all these pair styles, the terms with A and C are always cutoff. The additional Coulombic term can be cutoff or long-range (no cutoff) depending on whether the style name includes coul/cut or coul/long or coul/msm. If you wish the C/r^6 term to be long-range (no cutoff), then see the pair_style buck/long/coul/long command.

The following coefficients must be defined for each pair of atoms types via the pair_coeff command as in the examples above, or in the data file or restart files read by the read_data or read_restart commands:

  • A (energy units)

  • rho (distance units)

  • C (energy-distance^6 units)

  • cutoff (distance units)

  • cutoff2 (distance units)

The second coefficient, rho, must be greater than zero.

The latter 2 coefficients are optional. If not specified, the global A,C and Coulombic cutoffs are used. If only one cutoff is specified, it is used as the cutoff for both A,C and Coulombic interactions for this type pair. If both coefficients are specified, they are used as the A,C and Coulombic cutoffs for this type pair. You cannot specify 2 cutoffs for style buck, since it has no Coulombic terms.

For buck/coul/long only the LJ cutoff can be specified since a Coulombic cutoff cannot be specified for an individual I,J type pair. All type pairs use the same global Coulombic cutoff specified in the pair_style command.


Styles with a cuda, gpu, omp, or opt suffix are functionally the same as the corresponding style without the suffix. They have been optimized to run faster, depending on your available hardware, as discussed in Section_accelerate of the manual. The accelerated styles take the same arguments and should produce the same results, except for round-off and precision issues.

These accelerated styles are part of the USER-CUDA, GPU, USER-OMP and OPT packages, respectively. They are only enabled if LAMMPS was built with those packages. See the Making LAMMPS section for more info.

You can specify the accelerated styles explicitly in your input script by including their suffix, or you can use the -suffix command-line switch when you invoke LAMMPS, or you can use the suffix command in your input script.

See Section_accelerate of the manual for more instructions on how to use the accelerated styles effectively.


Mixing, shift, table, tail correction, restart, rRESPA info:

These pair styles do not support mixing. Thus, coefficients for all I,J pairs must be specified explicitly.

These styles support the pair_modify shift option for the energy of the exp() and 1/r^6 portion of the pair interaction.

The buck/coul/long pair style supports the pair_modify table option to tabulate the short-range portion of the long-range Coulombic interaction.

These styles support the pair_modify tail option for adding long-range tail corrections to energy and pressure for the A,C terms in the pair interaction.

These styles write their information to binary restart files, so pair_style and pair_coeff commands do not need to be specified in an input script that reads a restart file.

These styles can only be used via the pair keyword of the run_style respa command. They do not support the inner, middle, outer keywords.

Restrictions

The buck/coul/long style is part of the KSPACE package. It is only enabled if LAMMPS was built with that package (which it is by default). See the Making LAMMPS section for more info.