pair_style lj/gromacs command¶
pair_style lj/gromacs/cuda command¶
pair_style lj/gromacs/omp command¶
pair_style lj/gromacs/coul/gromacs command¶
pair_style lj/gromacs/coul/gromacs/cuda command¶
pair_style lj/gromacs/coul/gromacs/omp command¶
Syntax¶
pair_style style args
- style = lj/gromacs or lj/gromacs/coul/gromacs 
- args = list of arguments for a particular style 
lj/gromacs args = inner outer inner, outer = global switching cutoffs for Lennard Jones lj/gromacs/coul/gromacs args = inner outer (inner2) (outer2) inner, outer = global switching cutoffs for Lennard Jones (and Coulombic if only 2 args) inner2, outer2 = global switching cutoffs for Coulombic (optional)
Examples¶
pair_style lj/gromacs 9.0 12.0 pair_coeff * * 100.0 2.0 pair_coeff 2 2 100.0 2.0 8.0 10.0 pair_style lj/gromacs/coul/gromacs 9.0 12.0 pair_style lj/gromacs/coul/gromacs 8.0 10.0 7.0 9.0 pair_coeff * * 100.0 2.0
Description¶
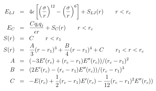
The lj/gromacs styles compute shifted LJ and Coulombic interactions with an additional switching function S(r) that ramps the energy and force smoothly to zero between an inner and outer cutoff. It is a commonly used potential in the GROMACS MD code and for the coarse-grained models of (Marrink).
 
r1 is the inner cutoff; rc is the outer cutoff. The coefficients A, B, and C are computed by LAMMPS to perform the shifting and smoothing. The function S(r) is actually applied once to each term of the LJ formula and once to the Coulombic formula, so there are 2 or 3 sets of A,B,C coefficients depending on which pair_style is used. The boundary conditions applied to the smoothing function are as follows: S’(r1) = S’’(r1) = 0, S(rc) = -E(rc), S’(rc) = -E’(rc), and S’’(rc) = -E’’(rc), where E(r) is the corresponding term in the LJ or Coulombic potential energy function. Single and double primes denote first and second derivatives with respect to r, respectively.
The inner and outer cutoff for the LJ and Coulombic terms can be the same or different depending on whether 2 or 4 arguments are used in the pair_style command. The inner LJ cutoff must be > 0, but the inner Coulombic cutoff can be >= 0.
The following coefficients must be defined for each pair of atoms types via the pair_coeff command as in the examples above, or in the data file or restart files read by the read_data or read_restart commands, or by mixing as described below:
- epsilon (energy units) 
- sigma (distance units) 
- inner (distance units) 
- outer (distance units) 
Note that sigma is defined in the LJ formula as the zero-crossing distance for the potential, not as the energy minimum at 2^(1/6) sigma.
The last 2 coefficients are optional inner and outer cutoffs for style lj/gromacs. If not specified, the global inner and outer values are used.
The last 2 coefficients cannot be used with style lj/gromacs/coul/gromacs because this force field does not allow varying cutoffs for individual atom pairs; all pairs use the global cutoff(s) specified in the pair_style command.
Styles with a cuda, gpu, omp, or opt suffix are functionally the same as the corresponding style without the suffix. They have been optimized to run faster, depending on your available hardware, as discussed in Section_accelerate of the manual. The accelerated styles take the same arguments and should produce the same results, except for round-off and precision issues.
These accelerated styles are part of the USER-CUDA, GPU, USER-OMP and OPT packages, respectively. They are only enabled if LAMMPS was built with those packages. See the Making LAMMPS section for more info.
You can specify the accelerated styles explicitly in your input script by including their suffix, or you can use the -suffix command-line switch when you invoke LAMMPS, or you can use the suffix command in your input script.
See Section_accelerate of the manual for more instructions on how to use the accelerated styles effectively.
Mixing, shift, table, tail correction, restart, rRESPA info:
For atom type pairs I,J and I != J, the epsilon and sigma coefficients and cutoff distance for all of the lj/cut pair styles can be mixed. The default mix value is geometric. See the “pair_modify” command for details.
None of the GROMACS pair styles support the pair_modify shift option, since the Lennard-Jones portion of the pair interaction is already smoothed to 0.0 at the cutoff.
The pair_modify table option is not relevant for this pair style.
None of the GROMACS pair styles support the pair_modify tail option for adding long-range tail corrections to energy and pressure, since there are no corrections for a potential that goes to 0.0 at the cutoff.
All of the GROMACS pair styles write their information to binary restart files, so pair_style and pair_coeff commands do not need to be specified in an input script that reads a restart file.
All of the GROMACS pair styles can only be used via the pair keyword of the run_style respa command. They do not support the inner, middle, outer keywords.
Restrictions¶
none