pair_style nm/cut command

pair_style nm/cut/coul/cut command

pair_style nm/cut/coul/long command

pair_style nm/cut/omp command

pair_style nm/cut/coul/cut/omp command

pair_style nm/cut/coul/long/omp command

Syntax

pair_style style args
  • style = nm/cut or nm/cut/coul/cut or nm/cut/coul/long

  • args = list of arguments for a particular style

    nm/cut args = cutoff
      cutoff = global cutoff for Pair interactions (distance units)
    nm/cut/coul/cut args = cutoff (cutoff2)
      cutoff = global cutoff for Pair (and Coulombic if only 1 arg) (distance units)
      cutoff2 = global cutoff for Coulombic (optional) (distance units)
    nm/cut/coul/long args = cutoff (cutoff2)
      cutoff = global cutoff for Pair (and Coulombic if only 1 arg) (distance units)
      cutoff2 = global cutoff for Coulombic (optional) (distance units)

Examples

pair_style nm/cut 12.0
pair_coeff * * 0.01 5.4 8.0 7.0
pair_coeff 1 1 0.01 4.4 7.0 6.0

pair_style nm/cut/coul/cut 12.0 15.0
pair_coeff * * 0.01 5.4 8.0 7.0
pair_coeff 1 1 0.01 4.4 7.0 6.0

pair_style nm/cut/coul/long 12.0 15.0
pair_coeff * * 0.01 5.4 8.0 7.0
pair_coeff 1 1 0.01 4.4 7.0 6.0

Description

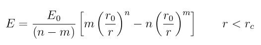
Style nm computes site-site interactions based on the N-M potential by Clarke, mainly used for ionic liquids. A site can represent a single atom or a united-atom site. The energy of an interaction has the following form:

images/pair_nm.jpg

Rc is the cutoff.

Style nm/cut/coul/cut adds a Coulombic pairwise interaction given by

images/pair_coulomb.jpg

where C is an energy-conversion constant, Qi and Qj are the charges on the 2 atoms, and epsilon is the dielectric constant which can be set by the dielectric command. If one cutoff is specified in the pair_style command, it is used for both the NM and Coulombic terms. If two cutoffs are specified, they are used as cutoffs for the NM and Coulombic terms respectively.

Styles nm/cut/coul/long compute the same Coulombic interactions as style nm/cut/coul/cut except that an additional damping factor is applied to the Coulombic term so it can be used in conjunction with the kspace_style command and its ewald or pppm option. The Coulombic cutoff specified for this style means that pairwise interactions within this distance are computed directly; interactions outside that distance are computed in reciprocal space.

For all of the nm pair styles, the following coefficients must be defined for each pair of atoms types via the pair_coeff command as in the examples above, or in the data file or restart files read by the read_data or read_restart commands.

  • E0 (energy units)

  • r0 (distance units)

  • n (unitless)

  • m (unitless)

  • cutoff1 (distance units)

  • cutoff2 (distance units)

The latter 2 coefficients are optional. If not specified, the global NM and Coulombic cutoffs specified in the pair_style command are used. If only one cutoff is specified, it is used as the cutoff for both NM and Coulombic interactions for this type pair. If both coefficients are specified, they are used as the NM and Coulombic cutoffs for this type pair. You cannot specify 2 cutoffs for style nm, since it has no Coulombic terms.

For nm/cut/coul/long only the NM cutoff can be specified since a Coulombic cutoff cannot be specified for an individual I,J type pair. All type pairs use the same global Coulombic cutoff specified in the pair_style command.


Mixing, shift, table, tail correction, restart, rRESPA info:

These pair styles do not support mixing. Thus, coefficients for all I,J pairs must be specified explicitly.

All of the nm pair styles supports the pair_modify shift option for the energy of the pair interaction.

The nm/cut/coul/long pair styles support the pair_modify table option since they can tabulate the short-range portion of the long-range Coulombic interaction.

All of the nm pair styles support the pair_modify tail option for adding a long-range tail correction to the energy and pressure for the NM portion of the pair interaction.

All of the nm pair styles write their information to binary restart files, so pair_style and pair_coeff commands do not need to be specified in an input script that reads a restart file.

All of the nm pair styles can only be used via the pair keyword of the run_style respa command. They do not support the inner, middle, outer keywords.


Styles with a cuda, gpu, omp, or opt suffix are functionally the same as the corresponding style without the suffix. They have been optimized to run faster, depending on your available hardware, as discussed in Section_accelerate of the manual. The accelerated styles take the same arguments and should produce the same results, except for round-off and precision issues.

These accelerated styles are part of the USER-CUDA, GPU, USER-OMP and OPT packages, respectively. They are only enabled if LAMMPS was built with those packages. See the Making LAMMPS section for more info.

You can specify the accelerated styles explicitly in your input script by including their suffix, or you can use the -suffix command-line switch when you invoke LAMMPS, or you can use the suffix command in your input script.

See Section_accelerate of the manual for more instructions on how to use the accelerated styles effectively.

Restrictions

These pair styles are part of the MISC package. It is only enabled if LAMMPS was built with that package. See the Making LAMMPS section for more info.