pair_style lj/cut/dipole/cut command

pair_style lj/cut/dipole/cut/gpu command

pair_style lj/cut/dipole/cut/omp command

pair_style lj/sf/dipole/sf command

pair_style lj/sf/dipole/sf/gpu command

pair_style lj/sf/dipole/sf/omp command

pair_style lj/cut/dipole/long command

pair_style lj/long/dipole/long command

Syntax

pair_style lj/cut/dipole/cut cutoff (cutoff2)
pair_style lj/sf/dipole/sf cutoff (cutoff2)
pair_style lj/cut/dipole/long cutoff (cutoff2)
pair_style lj/long/dipole/long flag_lj flag_coul cutoff (cutoff2)
  • cutoff = global cutoff LJ (and Coulombic if only 1 arg) (distance units)

  • cutoff2 = global cutoff for Coulombic and dipole (optional) (distance units)

  • flag_lj = long or cut or off

    long = use long-range damping on dispersion 1/r^6 term
    cut = use a cutoff on dispersion 1/r^6 term
    off = omit disperion 1/r^6 term entirely
  • flag_coul = long or off

    long = use long-range damping on Coulombic 1/r and point-dipole terms
    off = omit Coulombic and point-dipole terms entirely

Examples

pair_style lj/cut/dipole/cut 10.0
pair_coeff * * 1.0 1.0
pair_coeff 2 3 1.0 1.0 2.5 4.0

pair_style lj/sf/dipole/sf 9.0
pair_coeff * * 1.0 1.0
pair_coeff 2 3 1.0 1.0 2.5 4.0

pair_style lj/cut/dipole/long 10.0
pair_coeff * * 1.0 1.0
pair_coeff 2 3 1.0 1.0 2.5 4.0

pair_style lj/long/dipole/long long long 3.5 10.0
pair_coeff * * 1.0 1.0
pair_coeff 2 3 1.0 1.0 2.5 4.0

Description

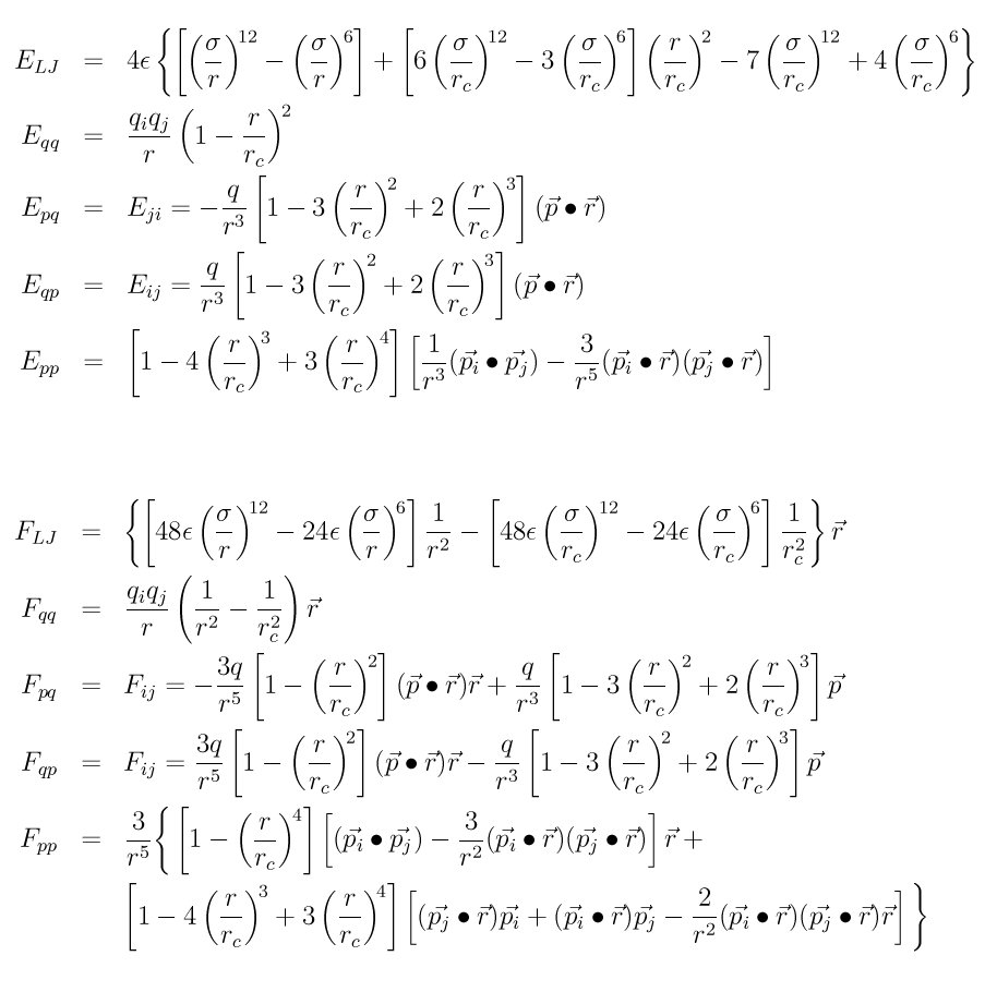
Style lj/cut/dipole/cut computes interactions between pairs of particles that each have a charge and/or a point dipole moment. In addition to the usual Lennard-Jones interaction between the particles (Elj) the charge-charge (Eqq), charge-dipole (Eqp), and dipole-dipole (Epp) interactions are computed by these formulas for the energy (E), force (F), and torque (T) between particles I and J.

images/pair_dipole.jpg

where qi and qj are the charges on the two particles, pi and pj are the dipole moment vectors of the two particles, r is their separation distance, and the vector r = Ri - Rj is the separation vector between the two particles. Note that Eqq and Fqq are simply Coulombic energy and force, Fij = -Fji as symmetric forces, and Tij != -Tji since the torques do not act symmetrically. These formulas are discussed in (Allen) and in (Toukmaji).

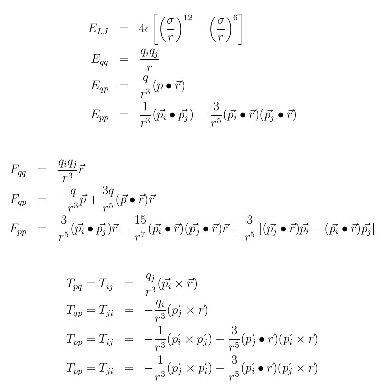
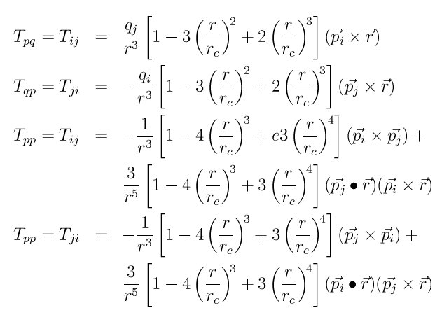
Style lj/sf/dipole/sf computes “shifted-force” interactions between pairs of particles that each have a charge and/or a point dipole moment. In general, a shifted-force potential is a (sligthly) modified potential containing extra terms that make both the energy and its derivative go to zero at the cutoff distance; this removes (cutoff-related) problems in energy conservation and any numerical instability in the equations of motion (Allen). Shifted-force interactions for the Lennard-Jones (E_LJ), charge-charge (Eqq), charge-dipole (Eqp), dipole-charge (Epq) and dipole-dipole (Epp) potentials are computed by these formulas for the energy (E), force (F), and torque (T) between particles I and J:

images/pair_dipole_sf.jpg images/pair_dipole_sf2.jpg

where epsilon and sigma are the standard LJ parameters, r_c is the cutoff, qi and qj are the charges on the two particles, pi and pj are the dipole moment vectors of the two particles, r is their separation distance, and the vector r = Ri - Rj is the separation vector between the two particles. Note that Eqq and Fqq are simply Coulombic energy and force, Fij = -Fji as symmetric forces, and Tij != -Tji since the torques do not act symmetrically. The shifted-force formula for the Lennard-Jones potential is reported in (Stoddard). The original (unshifted) formulas for the electrostatic potentials, forces and torques can be found in (Price). The shifted-force electrostatic potentials have been obtained by applying equation 5.13 of (Allen). The formulas for the corresponding forces and torques have been obtained by applying the ‘chain rule’ as in appendix C.3 of (Allen).

If one cutoff is specified in the pair_style command, it is used for both the LJ and Coulombic (q,p) terms. If two cutoffs are specified, they are used as cutoffs for the LJ and Coulombic (q,p) terms respectively.

Style lj/cut/dipole/long computes long-range point-dipole interactions as discussed in (Toukmaji). Dipole-dipole, dipole-charge, and charge-charge interactions are all supported, along with the standard 12/6 Lennard-Jones interactions, which are computed with a cutoff. A kspace_style must be defined to use this pair style. Currently, only kspace_style ewald/disp support long-range point-dipole interactions.

Style lj/long/dipole/long also computes point-dipole interactions as discussed in (Toukmaji). Long-range dipole-dipole, dipole-charge, and charge-charge interactions are all supported, along with the standard 12/6 Lennard-Jones interactions. LJ interactions can be cutoff or long-ranged.

For style lj/long/dipole/long, if flag_lj is set to long, no cutoff is used on the LJ 1/r^6 dispersion term. The long-range portion is calculated by using the kspace_style ewald_disp command. The specified LJ cutoff then determines which portion of the LJ interactions are computed directly by the pair potential versus which part is computed in reciprocal space via the Kspace style. If flag_lj is set to cut, the LJ interactions are simply cutoff, as with pair_style lj/cut. If flag_lj is set to off, LJ interactions are not computed at all.

If flag_coul is set to long, no cutoff is used on the Coulombic or dipole interactions. The long-range portion is calculated by using ewald_disp of the kspace_style command. If flag_coul is set to off, Coulombic and dipole interactions are not computed at all.

Atoms with dipole moments should be integrated using the fix nve/sphere update dipole command to rotate the dipole moments. The omega option on the fix langevin command can be used to thermostat the rotational motion. The compute temp/sphere command can be used to monitor the temperature, since it includes rotational degrees of freedom. The atom_style hybrid dipole sphere command should be used since it defines the point dipoles and their rotational state. The magnitude and orientation of the dipole moment for each particle can be defined by the set command or in the “Atoms” section of the data file read in by the read_data command.

The following coefficients must be defined for each pair of atoms types via the pair_coeff command as in the examples above, or in the data file or restart files read by the read_data or read_restart commands, or by mixing as described below:

  • epsilon (energy units)

  • sigma (distance units)

  • cutoff1 (distance units)

  • cutoff2 (distance units)

The latter 2 coefficients are optional. If not specified, the global LJ and Coulombic cutoffs specified in the pair_style command are used. If only one cutoff is specified, it is used as the cutoff for both LJ and Coulombic interactions for this type pair. If both coefficients are specified, they are used as the LJ and Coulombic cutoffs for this type pair.


Styles with a cuda, gpu, omp, or opt suffix are functionally the same as the corresponding style without the suffix. They have been optimized to run faster, depending on your available hardware, as discussed in Section_accelerate of the manual. The accelerated styles take the same arguments and should produce the same results, except for round-off and precision issues.

These accelerated styles are part of the USER-CUDA, GPU, USER-OMP and OPT packages, respectively. They are only enabled if LAMMPS was built with those packages. See the Making LAMMPS section for more info.

You can specify the accelerated styles explicitly in your input script by including their suffix, or you can use the -suffix command-line switch when you invoke LAMMPS, or you can use the suffix command in your input script.

See Section_accelerate of the manual for more instructions on how to use the accelerated styles effectively.


Mixing, shift, table, tail correction, restart, rRESPA info:

For atom type pairs I,J and I != J, the epsilon and sigma coefficients and cutoff distances for this pair style can be mixed. The default mix value is geometric. See the “pair_modify” command for details.

For atom type pairs I,J and I != J, the A, sigma, d1, and d2 coefficients and cutoff distance for this pair style can be mixed. A is an energy value mixed like a LJ epsilon. D1 and d2 are distance values and are mixed like sigma. The default mix value is geometric. See the “pair_modify” command for details.

This pair style does not support the pair_modify shift option for the energy of the Lennard-Jones portion of the pair interaction; such energy goes to zero at the cutoff by construction.

The pair_modify table option is not relevant for this pair style.

This pair style does not support the pair_modify tail option for adding long-range tail corrections to energy and pressure.

This pair style writes its information to binary restart files, so pair_style and pair_coeff commands do not need to be specified in an input script that reads a restart file.

This pair style can only be used via the pair keyword of the run_style respa command. It does not support the inner, middle, outer keywords.

Restrictions

The lj/cut/dipole/cut, lj/cut/dipole/long, and lj/long/dipole/long styles are part of the DIPOLE package. They are only enabled if LAMMPS was built with that package. See the Making LAMMPS section for more info.

The lj/sf/dipole/sf style is part of the USER-MISC package. It is only enabled if LAMMPS was built with that package. See the Making LAMMPS section for more info.

Using dipole pair styles with electron units is not currently supported.