pair_style meam command

Syntax

pair_style meam

Examples

pair_style meam
pair_coeff * * ../potentials/library.meam Si ../potentials/si.meam Si
pair_coeff * * ../potentials/library.meam Ni Al NULL Ni Al Ni Ni

Description

Note

The behavior of the MEAM potential for alloy systems has changed as of November 2010; see description below of the mixture_ref_t parameter

Style meam computes pairwise interactions for a variety of materials using modified embedded-atom method (MEAM) potentials (Baskes). Conceptually, it is an extension to the original EAM potentials which adds angular forces. It is thus suitable for modeling metals and alloys with fcc, bcc, hcp and diamond cubic structures, as well as covalently bonded materials like silicon and carbon.

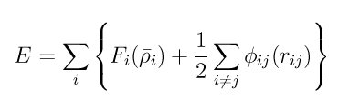
In the MEAM formulation, the total energy E of a system of atoms is given by:

images/pair_meam.jpg

where F is the embedding energy which is a function of the atomic electron density rho, and phi is a pair potential interaction. The pair interaction is summed over all neighbors J of atom I within the cutoff distance. As with EAM, the multi-body nature of the MEAM potential is a result of the embedding energy term. Details of the computation of the embedding and pair energies, as implemented in LAMMPS, are given in (Gullet) and references therein.

The various parameters in the MEAM formulas are listed in two files which are specified by the pair_coeff command. These are ASCII text files in a format consistent with other MD codes that implement MEAM potentials, such as the serial DYNAMO code and Warp. Several MEAM potential files with parameters for different materials are included in the “potentials” directory of the LAMMPS distribution with a “.meam” suffix. All of these are parameterized in terms of LAMMPS metal units.

Note that unlike for other potentials, cutoffs for MEAM potentials are not set in the pair_style or pair_coeff command; they are specified in the MEAM potential files themselves.

Only a single pair_coeff command is used with the meam style which specifies two MEAM files and the element(s) to extract information for. The MEAM elements are mapped to LAMMPS atom types by specifying N additional arguments after the 2nd filename in the pair_coeff command, where N is the number of LAMMPS atom types:

  • MEAM library file

  • Elem1, Elem2, …

  • MEAM parameter file

  • N element names = mapping of MEAM elements to atom types

See the pair_coeff doc page for alternate ways to specify the path for the potential files.

As an example, the potentials/library.meam file has generic MEAM settings for a variety of elements. The potentials/sic.meam file has specific parameter settings for a Si and C alloy system. If your LAMMPS simulation has 4 atoms types and you want the 1st 3 to be Si, and the 4th to be C, you would use the following pair_coeff command:

pair_coeff * * library.meam Si C sic.meam Si Si Si C

The 1st 2 arguments must be * * so as to span all LAMMPS atom types. The two filenames are for the library and parameter file respectively. The Si and C arguments (between the file names) are the two elements for which info will be extracted from the library file. The first three trailing Si arguments map LAMMPS atom types 1,2,3 to the MEAM Si element. The final C argument maps LAMMPS atom type 4 to the MEAM C element.

If the 2nd filename is specified as NULL, no parameter file is read, which simply means the generic parameters in the library file are used. Use of the NULL specification for the parameter file is discouraged for systems with more than a single element type (e.g. alloys), since the parameter file is expected to set element interaction terms that are not captured by the information in the library file.

If a mapping value is specified as NULL, the mapping is not performed. This can be used when a meam potential is used as part of the hybrid pair style. The NULL values are placeholders for atom types that will be used with other potentials.

The MEAM library file provided with LAMMPS has the name potentials/library.meam. It is the “meamf” file used by other MD codes. Aside from blank and comment lines (start with #) which can appear anywhere, it is formatted as a series of entries, each of which has 19 parameters and can span multiple lines:

elt, lat, z, ielement, atwt, alpha, b0, b1, b2, b3, alat, esub, asub, t0, t1, t2, t3, rozero, ibar

The “elt” and “lat” parameters are text strings, such as elt = Si or Cu and lat = dia or fcc. Because the library file is used by Fortran MD codes, these strings may be enclosed in single quotes, but this is not required. The other numeric parameters match values in the formulas above. The value of the “elt” string is what is used in the pair_coeff command to identify which settings from the library file you wish to read in. There can be multiple entries in the library file with the same “elt” value; LAMMPS reads the 1st matching entry it finds and ignores the rest.

Other parameters in the MEAM library file correspond to single-element potential parameters:

lat      = lattice structure of reference configuration
z        = number of nearest neighbors in the reference structure
ielement = atomic number
atwt     = atomic weight
alat     = lattice constant of reference structure
esub     = energy per atom (eV) in the reference structure at equilibrium
asub     = "A" parameter for MEAM (see e.g. (Baskes))

The alpha, b0, b1, b2, b3, t0, t1, t2, t3 parameters correspond to the standard MEAM parameters in the literature (Baskes) (the b parameters are the standard beta parameters). The rozero parameter is an element-dependent density scaling that weights the reference background density (see e.g. equation 4.5 in (Gullet)) and is typically 1.0 for single-element systems. The ibar parameter selects the form of the function G(Gamma) used to compute the electron density; options are

 0 => G = sqrt(1+Gamma)
 1 => G = exp(Gamma/2)
 2 => not implemented
 3 => G = 2/(1+exp(-Gamma))
 4 => G = sqrt(1+Gamma)
-5 => G = +-sqrt(abs(1+Gamma))

If used, the MEAM parameter file contains settings that override or complement the library file settings. Examples of such parameter files are in the potentials directory with a “.meam” suffix. Their format is the same as is read by other Fortran MD codes. Aside from blank and comment lines (start with #) which can appear anywhere, each line has one of the following forms. Each line can also have a trailing comment (starting with #) which is ignored.

keyword = value
keyword(I) = value
keyword(I,J) = value
keyword(I,J,K) = value

The recognized keywords are as follows:

Ec, alpha, rho0, delta, lattce, attrac, repuls, nn2, Cmin, Cmax, rc, delr, augt1, gsmooth_factor, re

where

rc          = cutoff radius for cutoff function; default = 4.0
delr        = length of smoothing distance for cutoff function; default = 0.1
rho0(I)     = relative density for element I (overwrites value
              read from meamf file)
Ec(I,J)     = cohesive energy of reference structure for I-J mixture
delta(I,J)  = heat of formation for I-J alloy; if Ec_IJ is input as
              zero, then LAMMPS sets Ec_IJ = (Ec_II + Ec_JJ)/2 - delta_IJ
alpha(I,J)  = alpha parameter for pair potential between I and J (can
              be computed from bulk modulus of reference structure
re(I,J)     = equilibrium distance between I and J in the reference
              structure
Cmax(I,J,K) = Cmax screening parameter when I-J pair is screened
              by K (I<=J); default = 2.8
Cmin(I,J,K) = Cmin screening parameter when I-J pair is screened
              by K (I<=J); default = 2.0
lattce(I,J) = lattice structure of I-J reference structure:
                dia = diamond (interlaced fcc for alloy)
                fcc = face centered cubic
                bcc = body centered cubic
                dim = dimer
                b1  = rock salt (NaCl structure)
             hcp = hexagonal close-packed
             c11 = MoSi2 structure
             l12 = Cu3Au structure (lower case L, followed by 12)
                b2  = CsCl structure (interpenetrating simple cubic)
nn2(I,J)    = turn on second-nearest neighbor MEAM formulation for
              I-J pair (see for example (Lee)).
                0 = second-nearest neighbor formulation off
                1 = second-nearest neighbor formulation on
                default = 0
attrac(I,J) = additional cubic attraction term in Rose energy I-J pair potential
                default = 0
repuls(I,J) = additional cubic repulsive term in Rose energy I-J pair potential
                default = 0
zbl(I,J)    = blend the MEAM I-J pair potential with the ZBL potential for small
              atom separations (ZBL)
                default = 1
gsmooth_factor  = factor determining the length of the G-function smoothing
                  region; only significant for ibar=0 or ibar=4.
                      99.0 = short smoothing region, sharp step
                      0.5  = long smoothing region, smooth step
                      default = 99.0
augt1           = integer flag for whether to augment t1 parameter by
                  3/5*t3 to account for old vs. new meam formulations;
                    0 = don't augment t1
                    1 = augment t1
                    default = 1
ialloy          = integer flag to use alternative averaging rule for t parameters,
                  for comparison with the DYNAMO MEAM code
                    0 = standard averaging (matches ialloy=0 in DYNAMO)
                    1 = alternative averaging (matches ialloy=1 in DYNAMO)
                    2 = no averaging of t (use single-element values)
                    default = 0
mixture_ref_t   = integer flag to use mixture average of t to compute the background
                  reference density for alloys, instead of the single-element values
                  (see description and warning elsewhere in this doc page)
                    0 = do not use mixture averaging for t in the reference density
                    1 = use mixture averaging for t in the reference density
                    default = 0
erose_form      = integer value to select the form of the Rose energy function
                  (see description below).
                    default = 0
emb_lin_neg     = integer value to select embedding function for negative densities
                    0 = F(rho)=0
                    1 = F(rho) = -asub*esub*rho (linear in rho, matches DYNAMO)
                    default = 0
bkgd_dyn        = integer value to select background density formula
                    0 = rho_bkgd = rho_ref_meam(a) (as in the reference structure)
                    1 = rho_bkgd = rho0_meam(a)*Z_meam(a) (matches DYNAMO)
                    default = 0

Rc, delr, re are in distance units (Angstroms in the case of metal units). Ec and delta are in energy units (eV in the case of metal units).

Each keyword represents a quantity which is either a scalar, vector, 2d array, or 3d array and must be specified with the correct corresponding array syntax. The indices I,J,K each run from 1 to N where N is the number of MEAM elements being used.

Thus these lines

rho0(2) = 2.25
alpha(1,2) = 4.37

set rho0 for the 2nd element to the value 2.25 and set alpha for the alloy interaction between elements 1 and 2 to 4.37.

The augt1 parameter is related to modifications in the MEAM formulation of the partial electron density function. In recent literature, an extra term is included in the expression for the third-order density in order to make the densities orthogonal (see for example (Wang), equation 3d); this term is included in the MEAM implementation in lammps. However, in earlier published work this term was not included when deriving parameters, including most of those provided in the library.meam file included with lammps, and to account for this difference the parameter t1 must be augmented by 3/5*t3. If augt1=1, the default, this augmentation is done automatically. When parameter values are fit using the modified density function, as in more recent literature, augt1 should be set to 0.

The mixture_ref_t parameter is available to match results with those of previous versions of lammps (before January 2011). Newer versions of lammps, by default, use the single-element values of the t parameters to compute the background reference density. This is the proper way to compute these parameters. Earlier versions of lammps used an alloy mixture averaged value of t to compute the background reference density. Setting mixture_ref_t=1 gives the old behavior. WARNING: using mixture_ref_t=1 will give results that are demonstrably incorrect for second-neighbor MEAM, and non-standard for first-neighbor MEAM; this option is included only for matching with previous versions of lammps and should be avoided if possible.

The parameters attrac and repuls, along with the integer selection parameter erose_form, can be used to modify the Rose energy function used to compute the pair potential. This function gives the energy of the reference state as a function of interatomic spacing. The form of this function is:

astar = alpha * (r/re - 1.d0)
if erose_form = 0: erose = -Ec*(1+astar+a3*(astar**3)/(r/re))*exp(-astar)
if erose_form = 1: erose = -Ec*(1+astar+(-attrac+repuls/r)*(astar**3))*exp(-astar)
if erose_form = 2: erose = -Ec*(1 +astar + a3*(astar**3))*exp(-astar)
a3 = repuls, astar < 0
a3 = attrac, astar >= 0

Most published MEAM parameter sets use the default values attrac=repulse=0. Setting repuls=attrac=delta corresponds to the form used in several recent published MEAM parameter sets, such as (Valone)

Note

The default form of the erose expression in LAMMPS was corrected in March 2009. The current version is correct, but may show different behavior compared with earlier versions of lammps with the attrac and/or repuls parameters are non-zero. To obtain the previous default form, use erose_form = 1 (this form does not seem to appear in the literature). An alternative form (see e.g. (Lee2)) is available using erose_form = 2.


Mixing, shift, table, tail correction, restart, rRESPA info:

For atom type pairs I,J and I != J, where types I and J correspond to two different element types, mixing is performed by LAMMPS with user-specifiable parameters as described above. You never need to specify a pair_coeff command with I != J arguments for this style.

This pair style does not support the pair_modify shift, table, and tail options.

This pair style does not write its information to binary restart files, since it is stored in potential files. Thus, you need to re-specify the pair_style and pair_coeff commands in an input script that reads a restart file.

This pair style can only be used via the pair keyword of the run_style respa command. It does not support the inner, middle, outer keywords.


Restrictions

This style is part of the MEAM package. It is only enabled if LAMMPS was built with that package, which also requires the MEAM library be built and linked with LAMMPS. See the Making LAMMPS section for more info.