pair_style lj96/cut command

pair_style lj96/cut/cuda command

pair_style lj96/cut/gpu command

pair_style lj96/cut/omp command

Syntax

pair_style lj96/cut cutoff
  • cutoff = global cutoff for lj96/cut interactions (distance units)

Examples

pair_style lj96/cut 2.5
pair_coeff * * 1.0 1.0 4.0
pair_coeff 1 1 1.0 1.0

Description

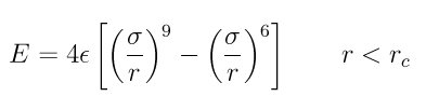
The lj96/cut style compute a 9/6 Lennard-Jones potential, instead of the standard 12/6 potential, given by

images/pair_lj96.jpg

Rc is the cutoff.

The following coefficients must be defined for each pair of atoms types via the pair_coeff command as in the examples above, or in the data file or restart files read by the read_data or read_restart commands, or by mixing as described below:

  • epsilon (energy units)

  • sigma (distance units)

  • cutoff (distance units)

The last coefficient is optional. If not specified, the global LJ cutoff specified in the pair_style command is used.


Styles with a cuda, gpu, omp, or opt suffix are functionally the same as the corresponding style without the suffix. They have been optimized to run faster, depending on your available hardware, as discussed in Section_accelerate of the manual. The accelerated styles take the same arguments and should produce the same results, except for round-off and precision issues.

These accelerated styles are part of the USER-CUDA, GPU, USER-OMP and OPT packages, respectively. They are only enabled if LAMMPS was built with those packages. See the Making LAMMPS section for more info.

You can specify the accelerated styles explicitly in your input script by including their suffix, or you can use the -suffix command-line switch when you invoke LAMMPS, or you can use the suffix command in your input script.

See Section_accelerate of the manual for more instructions on how to use the accelerated styles effectively.


Mixing, shift, table, tail correction, restart, rRESPA info:

For atom type pairs I,J and I != J, the epsilon and sigma coefficients and cutoff distance for all of the lj/cut pair styles can be mixed. The default mix value is geometric. See the “pair_modify” command for details.

This pair style supports the pair_modify shift option for the energy of the pair interaction.

The pair_modify table option is not relevant for this pair style.

This pair style supports the pair_modify tail option for adding a long-range tail correction to the energy and pressure of the pair interaction.

This pair style writes its information to binary restart files, so pair_style and pair_coeff commands do not need to be specified in an input script that reads a restart file.

This pair style supports the use of the inner, middle, and outer keywords of the run_style respa command, meaning the pairwise forces can be partitioned by distance at different levels of the rRESPA hierarchy. See the run_style command for details.


Restrictions

none