pair_style lj/sdk command

pair_style lj/sdk/gpu command

pair_style lj/sdk/omp command

pair_style lj/sdk/coul/long command

pair_style lj/sdk/coul/long/gpu command

pair_style lj/sdk/coul/long/omp command

Syntax

pair_style style args
  • style = lj/sdk or lj/sdk/coul/long

  • args = list of arguments for a particular style

lj/sdk args = cutoff
  cutoff = global cutoff for Lennard Jones interactions (distance units)
lj/sdk/coul/long args = cutoff (cutoff2)
  cutoff = global cutoff for LJ (and Coulombic if only 1 arg) (distance units)
  cutoff2 = global cutoff for Coulombic (optional) (distance units)

Examples

pair_style lj/sdk 2.5
pair_coeff 1 1 lj12_6 1 1.1 2.8

pair_style lj/sdk/coul/long 10.0
pair_style lj/sdk/coul/long 10.0 12.0
pair_coeff 1 1 lj9_6 100.0 3.5 12.0

Description

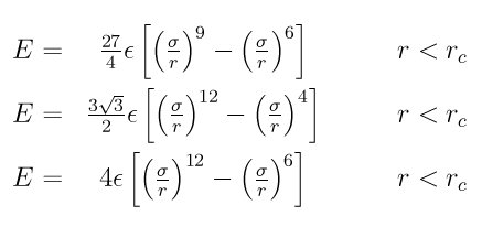
The lj/sdk styles compute a 9/6, 12/4, or 12/6 Lennard-Jones potential, given by

images/pair_cmm.jpg

as required for the SDK Coarse-grained MD parametrization discussed in (Shinoda) and (DeVane). Rc is the cutoff.

Style lj/sdk/coul/long computes the adds Coulombic interactions with an additional damping factor applied so it can be used in conjunction with the kspace_style command and its ewald or pppm or pppm/cg option. The Coulombic cutoff specified for this style means that pairwise interactions within this distance are computed directly; interactions outside that distance are computed in reciprocal space.

The following coefficients must be defined for each pair of atoms types via the pair_coeff command as in the examples above, or in the data file or restart files read by the read_data or read_restart commands, or by mixing as described below:

  • cg_type (lj9_6, lj12_4, or lj12_6)

  • epsilon (energy units)

  • sigma (distance units)

  • cutoff1 (distance units)

Note that sigma is defined in the LJ formula as the zero-crossing distance for the potential, not as the energy minimum. The prefactors are chosen so that the potential minimum is at -epsilon.

The latter 2 coefficients are optional. If not specified, the global LJ and Coulombic cutoffs specified in the pair_style command are used. If only one cutoff is specified, it is used as the cutoff for both LJ and Coulombic interactions for this type pair. If both coefficients are specified, they are used as the LJ and Coulombic cutoffs for this type pair.

For lj/sdk/coul/long only the LJ cutoff can be specified since a Coulombic cutoff cannot be specified for an individual I,J type pair. All type pairs use the same global Coulombic cutoff specified in the pair_style command.


Styles with a cuda, gpu, omp or opt suffix are functionally the same as the corresponding style without the suffix. They have been optimized to run faster, depending on your available hardware, as discussed in Section_accelerate of the manual. The accelerated styles take the same arguments and should produce the same results, except for round-off and precision issues.

These accelerated styles are part of the USER-CUDA, GPU, USER-OMP, and OPT packages respectively. They are only enabled if LAMMPS was built with those packages. See the Making LAMMPS section for more info.

You can specify the accelerated styles explicitly in your input script by including their suffix, or you can use the -suffix command-line switch when you invoke LAMMPS, or you can use the suffix command in your input script.

See Section_accelerate of the manual for more instructions on how to use the accelerated styles effectively.


Mixing, shift, table, tail correction, restart, and rRESPA info:

For atom type pairs I,J and I != J, the epsilon and sigma coefficients and cutoff distance for all of the lj/sdk pair styles cannot be mixed, since different pairs may have different exponents. So all parameters for all pairs have to be specified explicitly through the “pair_coeff” command. Defining then in a data file is also not supported, due to limitations of that file format.

All of the lj/sdk pair styles support the pair_modify shift option for the energy of the Lennard-Jones portion of the pair interaction.

The lj/sdk/coul/long pair styles support the pair_modify table option since they can tabulate the short-range portion of the long-range Coulombic interaction.

All of the lj/sdk pair styles write their information to binary restart files, so pair_style and pair_coeff commands do not need to be specified in an input script that reads a restart file.

The lj/sdk and lj/cut/coul/long pair styles do not support the use of the inner, middle, and outer keywords of the run_style respa command.


Restrictions

All of the lj/sdk pair styles are part of the USER-CG-CMM package. The lj/sdk/coul/long style also requires the KSPACE package to be built (which is enabled by default). They are only enabled if LAMMPS was built with that package. See the Making LAMMPS section for more info.