pair_style sph/taitwater/morris command

Syntax

pair_style sph/taitwater/morris

Examples

pair_style sph/taitwater/morris
pair_coeff * * 1000.0 1430.0 1.0 2.4

Description

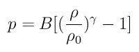
The sph/taitwater/morris style computes pressure forces between SPH particles according to Tait’s equation of state:

images/pair_sph_tait.jpg

where gamma = 7 and B = c_0^2 rho_0 / gamma, with rho_0 being the reference density and c_0 the reference speed of sound.

This pair style also computes laminar viscosity (Morris).

See this PDF guide to using SPH in LAMMPS.

The following coefficients must be defined for each pair of atoms types via the pair_coeff command as in the examples above.

  • rho0 reference density (mass/volume units)

  • c0 reference soundspeed (distance/time units)

  • nu dynamic viscosity (mass*distance/time units)

  • h kernel function cutoff (distance units)


Mixing, shift, table, tail correction, restart, rRESPA info:

This style does not support mixing. Thus, coefficients for all I,J pairs must be specified explicitly.

This style does not support the pair_modify shift, table, and tail options.

This style does not write information to binary restart files. Thus, you need to re-specify the pair_style and pair_coeff commands in an input script that reads a restart file.

This style can only be used via the pair keyword of the run_style respa command. It does not support the inner, middle, outer keywords.

Restrictions

This pair style is part of the USER-SPH package. It is only enabled if LAMMPS was built with that package. See the Making LAMMPS section for more info.