pair_style nb3b/harmonic command

pair_style nb3b/harmonic/omp command

Syntax

pair_style nb3b/harmonic

Examples

pair_style nb3b/harmonic
pair_coeff * * MgOH.nb3bharmonic Mg O H

Description

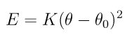
This pair style computes a nonbonded 3-body harmonic potential for the energy E of a system of atoms as

images/pair_nb3b_harmonic.jpg

where theta_0 is the equilibrium value of the angle and K is a prefactor. Note that the usual 1/2 factor is included in K. The form of the potential is identical to that used in angle_style harmonic, but in this case, the atoms do not need to be explicitly bonded.

Only a single pair_coeff command is used with this style which specifies a potential file with parameters for specified elements. These are mapped to LAMMPS atom types by specifying N additional arguments after the filename in the pair_coeff command, where N is the number of LAMMPS atom types:

  • filename

  • N element names = mapping of elements to atom types

See the pair_coeff doc page for alternate ways to specify the path for the potential file.

As an example, imagine a file SiC.nb3b.harmonic has potential values for Si and C. If your LAMMPS simulation has 4 atoms types and you want the 1st 3 to be Si, and the 4th to be C, you would use the following pair_coeff command:

pair_coeff * * SiC.nb3b.harmonic Si Si Si C

The 1st 2 arguments must be * * so as to span all LAMMPS atom types. The first three Si arguments map LAMMPS atom types 1,2,3 to the Si element in the potential file. The final C argument maps LAMMPS atom type 4 to the C element in the potential file. If a mapping value is specified as NULL, the mapping is not performed. This can be used when the potential is used as part of the hybrid pair style. The NULL values are placeholders for atom types that will be used with other potentials. An example of a pair_coeff command for use with the hybrid pair style is:

pair_coeff * * nb3b/harmonic MgOH.nb3b.harmonic Mg O H

Three-body nonbonded harmonic files in the potentials directory of the LAMMPS distribution have a “.nb3b.harmonic” suffix. Lines that are not blank or comments (starting with #) define parameters for a triplet of elements.

Each entry has six arguments. The first three are atom types as referenced in the LAMMPS input file. The first argument specifies the central atom. The fourth argument indicates the K parameter. The fifth argument indicates theta_0. The sixth argument indicates a separation cutoff in Angstroms.

For a given entry, if the second and third arguments are identical, then the entry is for a cutoff for the distance between types 1 and 2 (values for K and theta_0 are irrelevant in this case).

For a given entry, if the first three arguments are all different, then the entry is for the K and theta_0 parameters (the cutoff in this case is irrelevant).

It is not required that the potential file contain entries for all of the elements listed in the pair_coeff command. It can also contain entries for additional elements not being used in a particular simulation; LAMMPS ignores those entries.


Styles with a cuda, gpu, omp, or opt suffix are functionally the same as the corresponding style without the suffix. They have been optimized to run faster, depending on your available hardware, as discussed in Section_accelerate of the manual. The accelerated styles take the same arguments and should produce the same results, except for round-off and precision issues.

These accelerated styles are part of the USER-CUDA, GPU, USER-OMP and OPT packages, respectively. They are only enabled if LAMMPS was built with those packages. See the Making LAMMPS section for more info.

You can specify the accelerated styles explicitly in your input script by including their suffix, or you can use the -suffix command-line switch when you invoke LAMMPS, or you can use the suffix command in your input script.

See Section_accelerate of the manual for more instructions on how to use the accelerated styles effectively.


Restrictions

This pair style can only be used if LAMMPS was built with the MANYBODY package (which it is by default). See the Making LAMMPS section for more info on packages.