pair_style lj/sf command

pair_style lj/sf/omp command

Syntax

pair_style lj/sf cutoff
  • cutoff = global cutoff for Lennard-Jones interactions (distance units)

Examples

pair_style lj/sf 2.5
pair_coeff * * 1.0 1.0
pair_coeff 1 1 1.0 1.0 3.0

Description

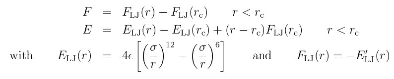
Style lj/sf computes a truncated and force-shifted LJ interaction (Shifted Force Lennard-Jones), so that both the potential and the force go continuously to zero at the cutoff (Toxvaerd):

images/pair_lj_sf.jpg

The following coefficients must be defined for each pair of atoms types via the pair_coeff command as in the examples above, or in the data file or restart files read by the read_data or read_restart commands, or by mixing as described below:

  • epsilon (energy units)

  • sigma (distance units)

  • cutoff (distance units)

The last coefficient is optional. If not specified, the global LJ cutoff specified in the pair_style command is used.


Styles with a cuda, gpu, omp, or opt suffix are functionally the same as the corresponding style without the suffix. They have been optimized to run faster, depending on your available hardware, as discussed in Section_accelerate of the manual. The accelerated styles take the same arguments and should produce the same results, except for round-off and precision issues.

These accelerated styles are part of the USER-CUDA, GPU, USER-OMP and OPT packages, respectively. They are only enabled if LAMMPS was built with those packages. See the Making LAMMPS section for more info.

You can specify the accelerated styles explicitly in your input script by including their suffix, or you can use the -suffix command-line switch when you invoke LAMMPS, or you can use the suffix command in your input script.

See Section_accelerate of the manual for more instructions on how to use the accelerated styles effectively.


Mixing, shift, table, tail correction, restart, rRESPA info:

For atom type pairs I,J and I != J, the epsilon and sigma coefficients and cutoff distance for this pair style can be mixed. Rin is a cutoff value and is mixed like the cutoff. The default mix value is geometric. See the “pair_modify” command for details.

The pair_modify shift option is not relevant for this pair style, since the pair interaction goes to 0.0 at the cutoff.

The pair_modify table option is not relevant for this pair style.

This pair style does not support the pair_modify tail option for adding long-range tail corrections to energy and pressure, since the energy of the pair interaction is smoothed to 0.0 at the cutoff.

This pair style writes its information to binary restart files, so pair_style and pair_coeff commands do not need to be specified in an input script that reads a restart file.

This pair style can only be used via the pair keyword of the run_style respa command. It does not support the inner, middle, outer keywords.


Restrictions

This pair style is part of the USER-MISC package. It is only enabled if LAMMPS was built with that package. See the Making LAMMPS section for more info.