pair_style coul/diel command

Syntax

pair_style coul/diel cutoff

cutoff = global cutoff (distance units)

Examples

pair_style coul/diel 3.5
pair_coeff 1 4 78. 1.375 0.112

Description

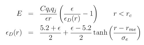
Style coul/diel computes a Coulomb correction for implicit solvent ion interactions in which the dielectric permittivity is distance dependent. The dielectric permittivity epsilon_D(r) connects to limiting regimes: One limit is defined by a small dielectric permittivity (close to vacuum) at or close to contact separation between the ions. At larger separations the dielectric permittivity reaches a bulk value used in the regular Coulomb interaction coul/long or coul/cut. The transition is modeled by a hyperbolic function which is incorporated in the Coulomb correction term for small ion separations as follows

images/pair_coul_diel.jpg

where r_me is the inflection point of epsilon_D(r) and sigma_e is a slope defining length scale. C is the same Coulomb conversion factor as in the pair_styles coul/cut, coul/long, and coul/debye. In this way the Coulomb interaction between ions is corrected at small distances r. The lower limit of epsilon_D(r->0)=5.2 due to dielectric saturation (Stiles) while the Coulomb interaction reaches its bulk limit by setting epsilon_D(r->infty)=epsilon, the bulk value of the solvent which is 78 for water at 298K.

Examples of the use of this type of Coulomb interaction include implicit solvent simulations of salt ions (Lenart) and of ionic surfactants (Jusufi). Note that this potential is only reasonable for implicit solvent simulations and in combination with coul/cut or coul/long. It is also usually combined with gauss/cut, see (Lenart) or (Jusufi).

The following coefficients must be defined for each pair of atom types via the pair_coeff command as in the example above, or in the data file or restart files read by the read_data or read_restart commands:

  • epsilon (no units)

  • r_me (distance units)

  • sigma_e (distance units)

The global cutoff (r_c) specified in the pair_style command is used.


Mixing, shift, table, tail correction, restart, rRESPA info:

This pair style does not support parameter mixing. Coefficients must be given explicitly for each type of particle pairs.

This pair style supports the pair_modify shift option for the energy of the Gauss-potential portion of the pair interaction.

The pair_modify table option is not relevant for this pair style.

This pair style does not support the pair_modify tail option for adding long-range tail corrections to energy and pressure.

This pair style can only be used via the pair keyword of the run_style respa command. It does not support the inner, middle, outer keywords.

Restrictions

This style is part of the “user-misc” package. It is only enabled if LAMMPS was built with that package. See the Making LAMMPS with optional packages section for more info.