pair_style lj/smooth command

pair_style lj/smooth/cuda command

pair_style lj/smooth/omp command

Syntax

pair_style lj/smooth Rin Rc
  • Rin = inner cutoff beyond which force smoothing will be applied (distance units)

  • Rc = outer cutoff for lj/smooth interactions (distance units)

Examples

pair_style lj/smooth 8.0 10.0
pair_coeff * * 10.0 1.5
pair_coeff 1 1 20.0 1.3 7.0 9.0

Description

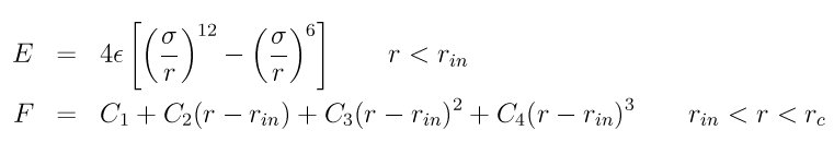
Style lj/smooth computes a LJ interaction with a force smoothing applied between the inner and outer cutoff.

images/pair_lj_smooth.jpg

The polynomial coefficients C1, C2, C3, C4 are computed by LAMMPS to cause the force to vary smoothly from the inner cutoff Rin to the outer cutoff Rc.

At the inner cutoff the force and its 1st derivative will match the unsmoothed LJ formula. At the outer cutoff the force and its 1st derivative will be 0.0. The inner cutoff cannot be 0.0.

Warning

this force smoothing causes the energy to be discontinuous both in its values and 1st derivative. This can lead to poor energy conservation and may require the use of a thermostat. Plot the energy and force resulting from this formula via the pair_write command to see the effect.

The following coefficients must be defined for each pair of atoms types via the pair_coeff command as in the examples above, or in the data file or restart files read by the read_data or read_restart commands, or by mixing as described below:

  • epsilon (energy units)

  • sigma (distance units)

  • inner (distance units)

  • outer (distance units)

The last 2 coefficients are optional inner and outer cutoffs. If not specified, the global values for Rin and Rc are used.


Styles with a cuda, gpu, omp, or opt suffix are functionally the same as the corresponding style without the suffix. They have been optimized to run faster, depending on your available hardware, as discussed in Section_accelerate of the manual. The accelerated styles take the same arguments and should produce the same results, except for round-off and precision issues.

These accelerated styles are part of the USER-CUDA, GPU, USER-OMP and OPT packages, respectively. They are only enabled if LAMMPS was built with those packages. See the Making LAMMPS section for more info.

You can specify the accelerated styles explicitly in your input script by including their suffix, or you can use the -suffix command-line switch when you invoke LAMMPS, or you can use the suffix command in your input script.

See Section_accelerate of the manual for more instructions on how to use the accelerated styles effectively.


Mixing, shift, table, tail correction, restart, rRESPA info:

For atom type pairs I,J and I != J, the epsilon, sigma, Rin coefficients and the cutoff distance for this pair style can be mixed. Rin is a cutoff value and is mixed like the cutoff. The other coefficients are mixed according to the pair_modify mix option. The default mix value is geometric. See the “pair_modify” command for details.

This pair style supports the pair_modify shift option for the energy of the pair interaction.

The pair_modify table option is not relevant for this pair style.

This pair style does not support the pair_modify tail option for adding long-range tail corrections to energy and pressure, since the energy of the pair interaction is smoothed to 0.0 at the cutoff.

This pair style writes its information to binary restart files, so pair_style and pair_coeff commands do not need to be specified in an input script that reads a restart file.

This pair style can only be used via the pair keyword of the run_style respa command. It does not support the inner, middle, outer keywords.


Restrictions

none