pair_style meam/spline

pair_style meam/spline/omp

Syntax

pair_style meam/spline

Examples

pair_style meam/spline
pair_coeff * * Ti.meam.spline Ti
pair_coeff * * Ti.meam.spline Ti Ti Ti

Description

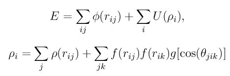
The meam/spline style computes pairwise interactions for metals using a variant of modified embedded-atom method (MEAM) potentials (Lenosky). The total energy E is given by

images/pair_meam_spline.jpg

where rho_i is the density at atom I, theta_jik is the angle between atoms J, I, and K centered on atom I. The five functions Phi, U, rho, f, and g are represented by cubic splines.

The cutoffs and the coefficients for these spline functions are listed in a parameter file which is specified by the pair_coeff command. Parameter files for different elements are included in the “potentials” directory of the LAMMPS distribution and have a “.meam.spline” file suffix. All of these files are parameterized in terms of LAMMPS metal units.

Note that unlike for other potentials, cutoffs for spline-based MEAM potentials are not set in the pair_style or pair_coeff command; they are specified in the potential files themselves.

Unlike the EAM pair style, which retrieves the atomic mass from the potential file, the spline-based MEAM potentials do not include mass information; thus you need to use the mass command to specify it.

Only a single pair_coeff command is used with the meam/spline style which specifies a potential file with parameters for all needed elements. These are mapped to LAMMPS atom types by specifying N additional arguments after the filename in the pair_coeff command, where N is the number of LAMMPS atom types:

  • filename

  • N element names = mapping of spline-based MEAM elements to atom types

See the pair_coeff doc page for alternate ways to specify the path for the potential file.

As an example, imagine the Ti.meam.spline file has values for Ti. If your LAMMPS simulation has 3 atoms types and they are all to be treated with this potentials, you would use the following pair_coeff command:

pair_coeff * * Ti.meam.spline Ti Ti Ti

The 1st 2 arguments must be * * so as to span all LAMMPS atom types. The three Ti arguments map LAMMPS atom types 1,2,3 to the Ti element in the potential file. If a mapping value is specified as NULL, the mapping is not performed. This can be used when a meam/spline potential is used as part of the hybrid pair style. The NULL values are placeholders for atom types that will be used with other potentials.

Warning

The meam/spline style currently supports only single-element MEAM potentials. It may be extended for alloy systems in the future.


Styles with a cuda, gpu, omp, or opt suffix are functionally the same as the corresponding style without the suffix. They have been optimized to run faster, depending on your available hardware, as discussed in Section_accelerate of the manual. The accelerated styles take the same arguments and should produce the same results, except for round-off and precision issues.

These accelerated styles are part of the USER-CUDA, GPU, USER-OMP and OPT packages, respectively. They are only enabled if LAMMPS was built with those packages. See the Making LAMMPS section for more info.

You can specify the accelerated styles explicitly in your input script by including their suffix, or you can use the -suffix command-line switch when you invoke LAMMPS, or you can use the suffix command in your input script.

See Section_accelerate of the manual for more instructions on how to use the accelerated styles effectively.


Mixing, shift, table, tail correction, restart, rRESPA info:

The current version of this pair style does not support multiple element types or mixing. It has been designed for pure elements only.

This pair style does not support the pair_modify shift, table, and tail options.

The meam/spline pair style does not write its information to binary restart files, since it is stored in an external potential parameter file. Thus, you need to re-specify the pair_style and pair_coeff commands in an input script that reads a restart file.

The meam/spline pair style can only be used via the pair keyword of the run_style respa command. They do not support the inner, middle, outer keywords.


Restrictions

This pair style requires the newton setting to be “on” for pair interactions.

This pair style is only enabled if LAMMPS was built with the USER-MISC package. See the Making LAMMPS section for more info.