pair_style sph/idealgas command¶
Syntax¶
pair_style sph/idealgas
Examples¶
pair_style sph/idealgas pair_coeff * * 1.0 2.4
Description¶
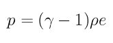
The sph/idealgas style computes pressure forces between particles according to the ideal gas equation of state:
 
where gamma = 1.4 is the heat capacity ratio, rho is the local density, and e is the internal energy per unit mass. This pair style also computes Monaghan’s artificial viscosity to prevent particles from interpenetrating (Monaghan).
See this PDF guide to using SPH in LAMMPS.
The following coefficients must be defined for each pair of atoms types via the pair_coeff command as in the examples above.
- nu artificial viscosity (no units) 
- h kernel function cutoff (distance units) 
Mixing, shift, table, tail correction, restart, rRESPA info:
This style does not support mixing. Thus, coefficients for all I,J pairs must be specified explicitly.
This style does not support the pair_modify shift, table, and tail options.
This style does not write information to binary restart files. Thus, you need to re-specify the pair_style and pair_coeff commands in an input script that reads a restart file.
This style can only be used via the pair keyword of the run_style respa command. It does not support the inner, middle, outer keywords.
Restrictions¶
This pair style is part of the USER-SPH package. It is only enabled if LAMMPS was built with that package. See the Making LAMMPS section for more info.